相关习题
 0  314552  314560  314566  314570  314576  314578  314582  314588  314590  314596  314602  314606  314608  314612  314618  314620  314626  314630  314632  314636  314638  314642  314644  314646  314647  314648  314650  314651  314652  314654  314656  314660  314662  314666  314668  314672  314678  314680  314686  314690  314692  314696  314702  314708  314710  314716  314720  314722  314728  314732  314738  314746  366461 

科目: 来源:[中学联盟]新疆乌鲁木齐市第九十八中学2016-2017学年七年级下学期第二次月考数学试卷 题型:填空题

方程3x+y=4,用含有y的式子x表示,则x= ________.

查看答案和解析>>

科目: 来源:[中学联盟]新疆乌鲁木齐市第九十八中学2016-2017学年七年级下学期第二次月考数学试卷 题型:填空题

若3x-2y=7,则6-6x+4y= __________ .

查看答案和解析>>

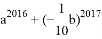
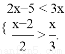
科目: 来源:[中学联盟]新疆乌鲁木齐市第九十八中学2016-2017学年七年级下学期第二次月考数学试卷 题型:填空题

不等式的解集是,则的取值范围_____.

查看答案和解析>>

科目: 来源:[中学联盟]新疆乌鲁木齐市第九十八中学2016-2017学年七年级下学期第二次月考数学试卷 题型:填空题

已知等腰三角形一腰上的中线将它的周长分为6和9两部分,则它的底边长是_________.

查看答案和解析>>

科目: 来源:[中学联盟]新疆乌鲁木齐市第九十八中学2016-2017学年七年级下学期第二次月考数学试卷 题型:填空题

已知点A(3x-6,y+15),点B(5y,x)关于x轴对称,则x-y的值是________.

查看答案和解析>>

科目: 来源:[中学联盟]新疆乌鲁木齐市第九十八中学2016-2017学年七年级下学期第二次月考数学试卷 题型:填空题

某商品进价是1000元,售价为1500元.为促销,商店决定降价出售,但保证利润率不低于,则商店最多降    元出售商品.

查看答案和解析>>

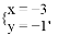
科目: 来源:[中学联盟]新疆乌鲁木齐市第九十八中学2016-2017学年七年级下学期第二次月考数学试卷 题型:解答题

解方程组

(1)

查看答案和解析>>

科目: 来源:[中学联盟]新疆乌鲁木齐市第九十八中学2016-2017学年七年级下学期第二次月考数学试卷 题型:解答题

解不等式(组)

(1) +1≥x;(2)

查看答案和解析>>

科目: 来源:[中学联盟]新疆乌鲁木齐市第九十八中学2016-2017学年七年级下学期第二次月考数学试卷 题型:解答题

已知y= ,当x=1时,y的值为2;当x=-2时,y的值为2.求x=-3时y的值.

查看答案和解析>>

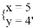
科目: 来源:[中学联盟]新疆乌鲁木齐市第九十八中学2016-2017学年七年级下学期第二次月考数学试卷 题型:解答题

甲、乙两人共同解方程组,由于甲看错了方程①中的,得到方程组的解为乙看错了方程②中的,得到方程组的解为试计算的值.

查看答案和解析>>

同步练习册答案