相关习题
 0  314553  314561  314567  314571  314577  314579  314583  314589  314591  314597  314603  314607  314609  314613  314619  314621  314627  314631  314633  314637  314639  314643  314645  314647  314648  314649  314651  314652  314653  314655  314657  314661  314663  314667  314669  314673  314679  314681  314687  314691  314693  314697  314703  314709  314711  314717  314721  314723  314729  314733  314739  314747  366461 

科目: 来源:[中学联盟]新疆乌鲁木齐市第九十八中学2016-2017学年七年级下学期第二次月考数学试卷 题型:单选题

方程2x-=0,3x+y=0,2x+xy=1,3x+y-2x=0,x2-x+1=0中,二元一次方程的个数是( )

A. 1个 B. 2个 C. 3个 D. 4个

查看答案和解析>>

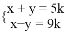
科目: 来源:[中学联盟]新疆乌鲁木齐市第九十八中学2016-2017学年七年级下学期第二次月考数学试卷 题型:单选题

关于x,y的二元一次方程组的解也是二元一次方程2x+3y=6的解,则k的值是( )

A. k=- B. k= C. k= D. k=-

查看答案和解析>>

科目: 来源:[中学联盟]新疆乌鲁木齐市第九十八中学2016-2017学年七年级下学期第二次月考数学试卷 题型:单选题

如果│x+y-1│和2(2x+y-3)2互为相反数,那么x,y的值为( )

A. B. C. D.

查看答案和解析>>

科目: 来源:[中学联盟]新疆乌鲁木齐市第九十八中学2016-2017学年七年级下学期第二次月考数学试卷 题型:单选题

已知方程是二元一次方程,则m+n的值( )

A. 1 B. 2 C. 3 D. -3

查看答案和解析>>

科目: 来源:[中学联盟]新疆乌鲁木齐市第九十八中学2016-2017学年七年级下学期第二次月考数学试卷 题型:单选题

方程组的解为则被遮盖的两个数Δ,□分别为( )

A. 1,2 B. 1,3 C. 2,4 D. 1,5

查看答案和解析>>

科目: 来源:[中学联盟]新疆乌鲁木齐市第九十八中学2016-2017学年七年级下学期第二次月考数学试卷 题型:单选题

若使代数式的值在-1和2之间,可以取的整数有( )

A. 1个 B. 2个 C. 3个 D. 4个

查看答案和解析>>

科目: 来源:[中学联盟]新疆乌鲁木齐市第九十八中学2016-2017学年七年级下学期第二次月考数学试卷 题型:单选题

如果不等式无解,则b的取值范围是( )

A. b>-2 B. b<-2 C. b≥-2 D. b≤-2

查看答案和解析>>

科目: 来源:[中学联盟]新疆乌鲁木齐市第九十八中学2016-2017学年七年级下学期第二次月考数学试卷 题型:单选题

是方程组的解,则(a+b)·(a-b)的值为( )

A. - B. C. -16 D. 16

查看答案和解析>>

科目: 来源:[中学联盟]新疆乌鲁木齐市第九十八中学2016-2017学年七年级下学期第二次月考数学试卷 题型:单选题

为保护生态环境,陕西省某县响应国家“退耕还林”号召,将某一部分耕地改为林地,改变后,林地面积和耕地面积共有180平方千米,耕地面积是林地面积的25%,求改变后林地面积和耕地面积各多少平方千米.设改变后耕地面积x平方千米,林地地面积y平方千米,根据题意,列出如下四个方程组,其中正确的是(  )

A. B. C. D.

查看答案和解析>>

科目: 来源:[中学联盟]新疆乌鲁木齐市第九十八中学2016-2017学年七年级下学期第二次月考数学试卷 题型:单选题

一种灭虫药粉30kg.含药率是15%.现在要用含药率较高的同种灭虫药粉50kg和它混合.使混合后含药率大于30%而小于35%.则所用药粉的含药率x的范围是( )

A. 15%<x<28% B. 15%<x<35% C. 39%<x<47% D. 23%<x<50%

查看答案和解析>>

同步练习册答案