相关习题
 0  314638  314646  314652  314656  314662  314664  314668  314674  314676  314682  314688  314692  314694  314698  314704  314706  314712  314716  314718  314722  314724  314728  314730  314732  314733  314734  314736  314737  314738  314740  314742  314746  314748  314752  314754  314758  314764  314766  314772  314776  314778  314782  314788  314794  314796  314802  314806  314808  314814  314818  314824  314832  366461 

科目: 来源:2#240953#3#7#6#2017#广东省河源市毕业班模拟考试数学试卷#6#3 题型:单选题

下列计算正确的是( )

A. B. C. D.

查看答案和解析>>

科目: 来源:2#240953#3#7#6#2017#广东省河源市毕业班模拟考试数学试卷#6#3 题型:单选题

H7N9病毒直径为30纳米(1纳米=10-9米),用科学计数法表示这个病毒直径的大小,正确的是( )

A. 30×米 B. 3.0×米 C. 3.0×米 D. 0.3×

查看答案和解析>>

科目: 来源:2#240953#3#7#6#2017#广东省河源市毕业班模拟考试数学试卷#6#3 题型:单选题

在2017年的体育中考中,某校6名学生的体育成绩统计如图,则这组数据的众数、中位数、方差依次是(  )

A. 18,18,1 B. 18,17.5,3 C. 18,18,3 D. 18,17.5,1

查看答案和解析>>

科目: 来源:2#240953#3#7#6#2017#广东省河源市毕业班模拟考试数学试卷#6#3 题型:单选题

如图,三条直线相交于点O.若CO⊥AB,∠1=56°,则∠2等于(  )

A. 30° B. 34° C. 45° D. 56°

查看答案和解析>>

科目: 来源:2#240953#3#7#6#2017#广东省河源市毕业班模拟考试数学试卷#6#3 题型:单选题

分解因式的结果是(  )

A. B. C. D.

查看答案和解析>>

科目: 来源:2#240953#3#7#6#2017#广东省河源市毕业班模拟考试数学试卷#6#3 题型:单选题

园林队在某公园进行绿化,中间休息了一段时间.已知绿化面积S(单位:平方米)与工作时间t(单位:小时)的函数关系的图象如图,则休息后园林队每小时绿化面积为(  )

A. 40平方米 B. 50平方米 C. 80平方米 D. 100平方米

查看答案和解析>>

科目: 来源:2#240953#3#7#6#2017#广东省河源市毕业班模拟考试数学试卷#6#3 题型:单选题

小明在测量楼高时,先测出楼房落在地面上的影长BA为15米(如图),然后在A处树立一根高2米的标杆,测得标杆的影长AC为3米,则楼高为(  )

A. 10米 B. 12米 C. 15米 D. 22.5米

查看答案和解析>>

科目: 来源:2#240953#3#7#6#2017#广东省河源市毕业班模拟考试数学试卷#6#3 题型:单选题

如图,边长为1的正方形ABCD,点M从点A出发以每秒1个单位长度的速度向点B运动,点N从点A出发以每秒3个单位长度的速度沿A→D→C→B的路径向点B运动,当一个点到达点B时,另一个点也随之停止运动,设△AMN的面积为s,运动时间为t秒,则能大致反映s与t的函数关系的图象是(  )

A. B. C. D.

查看答案和解析>>

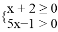
科目: 来源:2#240953#3#7#6#2017#广东省河源市毕业班模拟考试数学试卷#6#3 题型:填空题

一元一次不等式组的解集是_______.

查看答案和解析>>

科目: 来源:2#240953#3#7#6#2017#广东省河源市毕业班模拟考试数学试卷#6#3 题型:填空题

分解因式: =_____________

查看答案和解析>>

同步练习册答案