相关习题
 0  314651  314659  314665  314669  314675  314677  314681  314687  314689  314695  314701  314705  314707  314711  314717  314719  314725  314729  314731  314735  314737  314741  314743  314745  314746  314747  314749  314750  314751  314753  314755  314759  314761  314765  314767  314771  314777  314779  314785  314789  314791  314795  314801  314807  314809  314815  314819  314821  314827  314831  314837  314845  366461 

科目: 来源:2#241365#2#7#8#2017#山东省青州市2016-2017学年八年级(下)期末模拟数学试卷(含答案)#8#1 题型:解答题

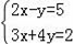
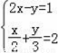
解方程组:

(1)

(2)

查看答案和解析>>

科目: 来源:2#241365#2#7#8#2017#山东省青州市2016-2017学年八年级(下)期末模拟数学试卷(含答案)#8#1 题型:解答题

在兰州市开展的“体育、艺术2+1”活动中,某校根据实际情况,决定主要开设A:乒乓球,B:篮球,C:跑步,D:跳绳这四种运动项目.为了解学生喜欢哪一种项目,随机抽取了部分学生进行调查,并将调查结果绘制成如图甲、乙所示的条形统计图和扇形统计图.请你结合图中的信息解答下列问题:

(1)样本中喜欢B项目的人数百分比是  ,其所在扇形统计图中的圆心角的度数是   

(2)把条形统计图补充完整;

(3)已知该校有1000人,根据样本估计全校喜欢乒乓球的人数是多少?

查看答案和解析>>

科目: 来源:2#241365#2#7#8#2017#山东省青州市2016-2017学年八年级(下)期末模拟数学试卷(含答案)#8#1 题型:解答题

某中学为八年级寄宿学生安排宿舍,如果每间4人,那么有20人无法安排,如果每间8人,那么有一间不空也不满,求宿舍间数和寄宿学生人数.

查看答案和解析>>

科目: 来源:2#241365#2#7#8#2017#山东省青州市2016-2017学年八年级(下)期末模拟数学试卷(含答案)#8#1 题型:解答题

如图,四边形ABCD是正方形,点E是边BC的中点,∠AEF=90°,且EF交正方形外角平分线CF于点F.请你认真阅读下面关于这个图的探究片段,完成所提出的问题.

(1)探究1:小强看到图(*)后,很快发现AE=EF,这需要证明AE和EF所在的两个三角形全等,但△ABE和△ECF显然不全等(一个是直角三角形,一个是钝角三角形),考虑到点E是边BC的中点,因此可以选取AB的中点M,连接EM后尝试着去证△AEM≌EFC就行了,随即小强写出了如下的证明过程:

证明:如图1,取AB的中点M,连接EM.

∵∠AEF=90°

∴∠FEC+∠AEB=90°

又∵∠EAM+∠AEB=90°

∴∠EAM=∠FEC

∵点E,M分别为正方形的边BC和AB的中点

∴AM=EC

又可知△BME是等腰直角三角形

∴∠AME=135°

又∵CF是正方形外角的平分线

∴∠ECF=135°

∴△AEM≌△EFC(ASA)

∴AE=EF

(2)探究2:小强继续探索,如图2,若把条件“点E是边BC的中点”改为“点E是边BC上的任意一点”,其余条件不变,发现AE=EF仍然成立,请你证明这一结论.

(3)探究3:小强进一步还想试试,如图3,若把条件“点E是边BC的中点”改为“点E是边BC延长线上的一点”,其余条件仍不变,那么结论AE=EF是否成立呢?若成立请你完成证明过程给小强看,若不成立请你说明理由.

查看答案和解析>>

科目: 来源:2#241203#3#7#3#2017#天津市河东区2017年九年级数学中考预测题(含答案)#3#3 题型:单选题

计算(﹣3)﹣(﹣5)=( )

A. 2 B. ﹣2 C. 8 D. ﹣8

查看答案和解析>>

科目: 来源:2#241203#3#7#3#2017#天津市河东区2017年九年级数学中考预测题(含答案)#3#3 题型:单选题

把锐角△ABC的各边都扩大2倍得△A′B′C′,那么∠A、∠A′的余弦值关系是( )

A. cosA=cosA′ B. cosA=2cosA′ C. 2cosA=cosA′ D. 不确定的

查看答案和解析>>

科目: 来源:2#241203#3#7#3#2017#天津市河东区2017年九年级数学中考预测题(含答案)#3#3 题型:单选题

下列图形中既是中心对称图形又是轴对称图形的是( )

A. B. C. D.

查看答案和解析>>

科目: 来源:2#241203#3#7#3#2017#天津市河东区2017年九年级数学中考预测题(含答案)#3#3 题型:单选题

用四舍五入法对2.06032分别取近似值,其中错误的是( )

A. 2.1(精确到0.1) B. 2.06(精确到千分位)

C. 2.06(精确到百分位) D. 2.0603(精确到0.0001)

查看答案和解析>>

科目: 来源:2#241203#3#7#3#2017#天津市河东区2017年九年级数学中考预测题(含答案)#3#3 题型:选择题

如图所示的几何体的俯视图是( )

A. B. C. D.

查看答案和解析>>

科目: 来源:2#241203#3#7#3#2017#天津市河东区2017年九年级数学中考预测题(含答案)#3#3 题型:单选题

关于的下列说法中错误的是( )

A. 是无理数 B. 3<<4

C. 是12的算术平方根 D. 不能化简

查看答案和解析>>

同步练习册答案