相关习题
 0  314699  314707  314713  314717  314723  314725  314729  314735  314737  314743  314749  314753  314755  314759  314765  314767  314773  314777  314779  314783  314785  314789  314791  314793  314794  314795  314797  314798  314799  314801  314803  314807  314809  314813  314815  314819  314825  314827  314833  314837  314839  314843  314849  314855  314857  314863  314867  314869  314875  314879  314885  314893  366461 

科目: 来源:辽宁省盖州市2017届九年级中考模拟数学试卷 题型:单选题

在下列四个图案中,既是轴对称图形,又是中心对称图形是( )

A. B. C. D.

查看答案和解析>>

科目: 来源:辽宁省盖州市2017届九年级中考模拟数学试卷 题型:单选题

PM2.5是大气压中直径小于或等于0.0000025m的颗粒物,将0.0000025用科学记数法表示为( )

A. 0.25×10-5 B. 0.25×10-6 C. 2.5×10-5 D. 2.5×10-6

查看答案和解析>>

科目: 来源:辽宁省盖州市2017届九年级中考模拟数学试卷 题型:单选题

如图,数轴上A、B两点分别对应实数a、b,则下列结论正确的是( )

A. ab>0 B. a-b>0 C. a+b>0 D.

查看答案和解析>>

科目: 来源:辽宁省盖州市2017届九年级中考模拟数学试卷 题型:单选题

下图所示的几何体是由一些小立方块搭成的,则这个几何体的俯视图是

A. B. C. D.

查看答案和解析>>

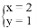
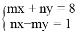
科目: 来源:辽宁省盖州市2017届九年级中考模拟数学试卷 题型:单选题

已知是二元一次方程组的解,则2m-n的算术平方根为( )

A. ±2 B. C. 4 D. 2

查看答案和解析>>

科目: 来源:辽宁省盖州市2017届九年级中考模拟数学试卷 题型:单选题

如图,⊙O的直径长10,弦AB=8,M是弦AB上的动点,则OM的长的取值范围是( )

A. 3≤OM≤5 B. 4≤OM≤5 C. 3<OM<5 D. 4<OM<5

查看答案和解析>>

科目: 来源:辽宁省盖州市2017届九年级中考模拟数学试卷 题型:选择题

函数y=ax+b和y=ax2+bx+c在同一直角坐标系内的图象大致是( )

A. B.

C. D.

查看答案和解析>>

科目: 来源:辽宁省盖州市2017届九年级中考模拟数学试卷 题型:单选题

如图,已知矩形纸片ABCD,AD=2,AB=,以A为圆心,AD长为半径画弧交BC于点E,将扇形AED剪下围成一个圆锥,则该圆锥的底面半径为( )

A. 1 B. C. D.

查看答案和解析>>

科目: 来源:辽宁省盖州市2017届九年级中考模拟数学试卷 题型:单选题

如图所示,P是菱形ABCD的对角线AC上一动点,过P垂直于AC的直线交菱形ABCD的边于M、N两点,设AC=2,BD=1,AP=x,△AMN的面积为y,则y关于x的函数图象的大致形状是( )

A. B. C. D.

查看答案和解析>>

科目: 来源:辽宁省盖州市2017届九年级中考模拟数学试卷 题型:填空题

分解因式: =_______________________.

查看答案和解析>>

同步练习册答案