相关习题
 0  314728  314736  314742  314746  314752  314754  314758  314764  314766  314772  314778  314782  314784  314788  314794  314796  314802  314806  314808  314812  314814  314818  314820  314822  314823  314824  314826  314827  314828  314830  314832  314836  314838  314842  314844  314848  314854  314856  314862  314866  314868  314872  314878  314884  314886  314892  314896  314898  314904  314908  314914  314922  366461 

科目: 来源:江苏省2017届九年级中考最后一模数学试卷 题型:解答题

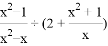
先化简,再求值:,再从-1,0,1,2中选择一个合适的值代入求值.

查看答案和解析>>

科目: 来源:江苏省2017届九年级中考最后一模数学试卷 题型:解答题

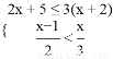
解不等式组,并写出它的整数解.

查看答案和解析>>

科目: 来源:江苏省2017届九年级中考最后一模数学试卷 题型:解答题

“校园安全”受到全社会的广泛关注,我市某中学对部分学生就校园安全知识的了解程度,采用随机抽样调查的方式,并根据收集到的信息进行统计,绘制了下面两幅尚不完整的统计图.请你根据统计图中所提供的信息解答下列问题:

(1)接受问卷调查的学生共有_______人,扇形统计图中“基本了解”部分所对应扇形的圆心角为_______°;

(2)请补全条形统计图;

(3)若该中学共有学生1800人,请根据上述调查结果,估计该中学学生中对校园安全知识 达到“了解”和“基本了解”程度的总人数;

查看答案和解析>>

科目: 来源:江苏省2017届九年级中考最后一模数学试卷 题型:解答题

江苏卫视《最强大脑》曾播出一期“辨脸识人”节目,参赛选手以家庭为单位,每组家庭由爸爸妈妈和宝宝3人组成,爸爸、妈妈和宝宝分散在三块区域,选手需在宝宝中选一个宝宝,然后分别在爸爸区域和妈妈区域中正确找出这个宝宝的父母,不考虑其他因素,仅从数学角度思考,已知在某分期比赛中有A、B、C三组家庭进行比赛:

(1)选手选择A组家庭的宝宝,在妈妈区域中正确找出其妈妈的概率为

(2)如果任选一个宝宝(假如选A组家庭),通过列表或树状图的方法,求选手至少正确找对宝宝父母其中一人的概率.

查看答案和解析>>

科目: 来源:江苏省2017届九年级中考最后一模数学试卷 题型:解答题

如图,点E正方形ABCD外一点,点F是线段AE上一点,△EBF是等腰直角三角形,其中∠EBF=90°,连接CE、CF.

(1)求证:△ABF≌△CBE;

(2)判断△CEF的形状,并说明理由.

查看答案和解析>>

科目: 来源:江苏省2017届九年级中考最后一模数学试卷 题型:解答题

如图,矩形OABC的顶点A、C分别在x、y轴的正半轴上,点D为对角线OB的中点,点E(8,n)在边AB上,反比例函数(k≠0)在第一象限内的图象经过点D、E,且tan∠BOA=

(1)求反比例函数的解析式和n的值;

(2)若反比例函数的图象与矩形的边BC交于点F,将矩形折叠,使点O与点F重合,折痕分别与x、y轴正半轴交于点H、G,求G点的坐标.

查看答案和解析>>

科目: 来源:江苏省2017届九年级中考最后一模数学试卷 题型:解答题

如图,在同一平面内,两条平行景观长廊l1和l2间有一条“U”形通道,其中AB段与景观长廊l1成45°角,长为20m;BC段与景观长廊垂直,长为10m,CD段与景观长廊l2成60°角,长为10m,求两景观长廊间的距离(结果保留根号).

查看答案和解析>>

科目: 来源:江苏省2017届九年级中考最后一模数学试卷 题型:解答题

每年淘宝网都会举办“双十一”购物活动,许多商家都会利用这个契机进行打折让利的促销活动.甲网店销售一件A商品成本为50元,网上标价80元.

(1)“双十一”购物活动当天,甲网店连续两次降价销售A商品吸引买主,问平均每次降价率为多少,才能使这件A商品的利润率为10%?(参考数据: ≈0.83,≈0.64,≈1.05)

(2)据媒体爆料,有一些淘宝商家在“双十一”购物活动当天,先提高商品的网上标价后再推出促销活动,存在欺诈行为.“双十一”活动之前,乙网店销售A商品的成本、网上标价与甲网店一致,一周可售出60件A商品.在“双十一”购物活动这天,乙网店先将网上标价提高a%,再推出五折销售的促销活动,吸引了大量网购者,乙网店在“双十一”购物活动当天卖出的A商品数量也比原来一周卖出的A商品数量增加了a%,这样“双十一”活动当天乙网店的利润达到了3600元,求乙网店在“双十一”购物活动这天的网上标价为多少?

查看答案和解析>>

科目: 来源:江苏省2017届九年级中考最后一模数学试卷 题型:解答题

将△ABC绕点A按逆时针方向旋转θ度,并使各边长变为原来的n倍,得△AB′C′ ,如图①所示,∠BAB′ =θ, ,我们将这种变换记为[θ,n] .

(1)如图①,对△ABC作变换[60°,]得到△AB′C′ ,则:= ;直线BC与直线B′C′所夹的锐角为 度;

(2)如图②,△ABC中,∠BAC=30°,∠ACB=90°,对△ABC作变换[θ,n]得到△AB′C′,使点B、C、在同一直线上,且四边形ABB′C′为矩形,求θ和n的值;

(3)如图③,△ABC中,AB=AC,∠BAC=36°,BC=1,对△ABC作变换[θ,n]得到△AB′C′,使点B、C、B′在同一直线上,且四边形ABB′C′为平行四边形,求θ和n的值.

查看答案和解析>>

科目: 来源:江苏省2017届九年级中考最后一模数学试卷 题型:解答题

如图,在平面直角坐标系中,已知点A、B、C的坐标分别为(-1,0),(5,0),(0,2).

(1)求过A、B、C三点的抛物线解析式;

(2)若点P从A点出发,沿x轴正方向以每秒1个单位长度的速度向B点移动,连接PC并延长到点E,使CE=PC,将线段PE绕点P顺时针旋转90°得到线段PF,连接FB.若点P运动的时间为t秒(0≤t≤6),设△PBF的面积为S;

①求S与t的函数关系式;

②当t是多少时,△PBF的面积最大,最大面积是多少?

(3)点P在移动的过程中,△PBF能否成为直角三角形?若能,直接写出点F的坐标;若不能,请说明理由.

查看答案和解析>>

同步练习册答案