相关习题
 0  314754  314762  314768  314772  314778  314780  314784  314790  314792  314798  314804  314808  314810  314814  314820  314822  314828  314832  314834  314838  314840  314844  314846  314848  314849  314850  314852  314853  314854  314856  314858  314862  314864  314868  314870  314874  314880  314882  314888  314892  314894  314898  314904  314910  314912  314918  314922  314924  314930  314934  314940  314948  366461 

科目: 来源:内蒙古毕业第一次模拟考试数学试卷 题型:解答题

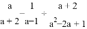
(1)

(2)先化简,再求代数式的值,其中=3tan30°﹣2.

查看答案和解析>>

科目: 来源:内蒙古毕业第一次模拟考试数学试卷 题型:解答题

王老师为了了解所教班级学生自主学习、合作交流的具体情况,对本班部分学生进行了为期半个月的跟踪调查,并将调查结果分成四类,A:优秀;B:良好;C:合格;D:一般;并将调查结果绘制成以下两幅不完整的统计图,请你根据统计图解答下列问题:(1)本次调查中,王老师一共调查了多少名同学?

(2)将上面的条形统计图补充完整;并求出“D”所占的圆心角的度数;

(3)从被调查的A类和D类学生中分别选取一位同学进行“一对一”互助学习,请求出所选两位同学恰好是一位男同学和一位女同学的概率.

查看答案和解析>>

科目: 来源:内蒙古毕业第一次模拟考试数学试卷 题型:解答题

“为了安全,请勿超速”.如图,一条公路建成通车,在某直线路段MN限速60千米/小时,为了检测车辆是否超速,在公路MN旁设立了观测点C,从观测点C测得一小车从点A到达点B行驶了5秒钟,已知∠CAN=45°,∠CBN=60°,BC=200米,此车超速了吗?请说明理由.

(参考数据:≈1.41,≈1.73)

查看答案和解析>>

科目: 来源:内蒙古毕业第一次模拟考试数学试卷 题型:解答题

如图,一次函数y=kx+b的图象与反比例函数(x>0)的图象交于P(n,2),与轴交于A(﹣4,0),与y轴交于C,PB⊥轴于点B,且AC=BC.

(1)求一次函数、反比例函数的解析式;

(2)反比例函数图象有一点D,使得以B、C、P、D为顶点的四边形是菱形,求出点D的坐标.

查看答案和解析>>

科目: 来源:内蒙古毕业第一次模拟考试数学试卷 题型:解答题

某工艺品厂设计了一款成本为10元/件的小工艺品投放市场进行试销,经过调查,得到如下数据:

销售单价x(元/件)

20

30

40

50

60

每天销售量y(件)

500

400

300

200

100

(1)把上表中x,y的各组对应值作为点的坐标,在下面的平面直角坐标系中描出相应的点,猜想y与x的函数关系,并求出函数关系式.

(2)当销售单价为多少元时,工艺品厂试销该小工艺品每天获得的利润最大?最大利润是多少?(利润=销售额﹣成本)

查看答案和解析>>

科目: 来源:内蒙古毕业第一次模拟考试数学试卷 题型:解答题

如图,AB为⊙O直径,C、D为⊙O上不同于A、B的两点,∠ABD=2∠BAC,连接CD.过点C作CE⊥DB,垂足为E,直线AB与CE相交于F点.

(1)求证:CF为⊙O的切线;

(2)当BF=5,时,求BD的长.

查看答案和解析>>

科目: 来源:内蒙古毕业第一次模拟考试数学试卷 题型:解答题

如图①,在△ABC中,∠BAC=90°,AB=AC,点E在AC上(且不与点A,C重合),在△ABC的外部作△CED,使∠CED=90°,DE=CE,连接AD,分别以AB,AD为邻边作平行四边形ABFD,连接AF.

(1)请直接写出线段AF,AE的数量关系

(2)将△CED绕点C逆时针旋转,当点E在线段BC上时,如图②,连接AE,请判断线段AF,AE的数量关系,并证明你的结论;

(3)在图②的基础上,将△CED绕点C继续逆时针旋转,请判断(2)问中的结论是否发生变化?若不变,结合图③写出证明过程;若变化,请说明理由.

查看答案和解析>>

科目: 来源:内蒙古毕业第一次模拟考试数学试卷 题型:解答题

如图,在平面直角坐标系中,圆M经过原点O,直线与x轴、y轴分别相交于A,B两点.

(1)求出A,B两点的坐标;

(2)若有一抛物线的对称轴平行于y轴且经过点M,顶点C在圆M上,开口向下,且经过点B,求此抛物线的函数解析式;

(3)设(2)中的抛物线交轴于D、E两点,在抛物线上是否存在点P,使得S△PDE=S△ABC?若存在,请求出点P的坐标;若不存在,请说明理由.

查看答案和解析>>

科目: 来源:江苏省高邮市2016-2017学年八年级下学期第一次课堂效率检测(3月月考)数学试卷 题型:单选题

下列调查适合做普查的是(  )

A. 了解全球人类男女比例情况

B. 了解一批灯泡的平均使用寿命

C. 调查20~25岁年轻人最崇拜的偶像

D. 对患甲型H7N9的流感患者同一车厢的乘客进行医学检查

查看答案和解析>>

科目: 来源:江苏省高邮市2016-2017学年八年级下学期第一次课堂效率检测(3月月考)数学试卷 题型:单选题

已知样本数据的个数为30,且被分成4组,各组数据的个数之比为2:4:3:1,则第二小组和第三小组的频率分别为 ( )

A. 0.4、0.3 B. 0.4、9 C. 12、0.3 D. 12、9

查看答案和解析>>

同步练习册答案