相关习题
 0  314798  314806  314812  314816  314822  314824  314828  314834  314836  314842  314848  314852  314854  314858  314864  314866  314872  314876  314878  314882  314884  314888  314890  314892  314893  314894  314896  314897  314898  314900  314902  314906  314908  314912  314914  314918  314924  314926  314932  314936  314938  314942  314948  314954  314956  314962  314966  314968  314974  314978  314984  314992  366461 

科目: 来源:江苏省苏州昆山市2017年中考数学一轮复习专题练习《分式》 题型:解答题

化简:(x﹣5+)÷

查看答案和解析>>

科目: 来源:江苏省苏州昆山市2017年中考数学一轮复习专题练习《分式》 题型:解答题

化简:(

查看答案和解析>>

科目: 来源:江苏省苏州昆山市2017年中考数学一轮复习专题练习《分式》 题型:解答题

计算:(

查看答案和解析>>

科目: 来源:江苏省苏州昆山市2017年中考数学一轮复习专题练习《分式》 题型:解答题

先化简再求值:,其中x满足x2+x﹣2=0.

查看答案和解析>>

科目: 来源:江苏省苏州昆山市2017年中考数学一轮复习专题练习《分式》 题型:解答题

先化简,再求值:(﹣x+1)÷,其中x=﹣2.

查看答案和解析>>

科目: 来源:江苏省苏州昆山市2017年中考数学一轮复习专题练习《分式》 题型:解答题

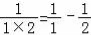
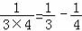
有一列按一定顺序和规律排列的数:

第一个数是

第二个数是

第三个数是

对任何正整数n,第n个数与第(n+1)个数的和等于

(1)经过探究,我们发现:

设这列数的第5个数为a,那么,哪个正确?

请你直接写出正确的结论;

(2)请你观察第1个数、第2个数、第3个数,猜想这列数的第n个数(即用正整数n表示第n数),并且证明你的猜想满足“第n个数与第(n+1)个数的和等于”;

(3)设M表示,…,,这2016个数的和,即

求证:

查看答案和解析>>

科目: 来源:江苏省苏州昆山市2017年中考数学一轮复习专题练习《分式》 题型:解答题

先化简,再求代数式的值,其中a=2sin60°+tan45°.

查看答案和解析>>

科目: 来源:江苏省苏州昆山市2017年中考数学一轮复习专题练习《分式》 题型:解答题

先化简:,再求当x+1与x+6互为相反数时代数式的值.

查看答案和解析>>

科目: 来源:江苏省苏州昆山市2017年中考数学一轮复习专题练习《分式》 题型:解答题

先化简,再求值:(﹣x﹣1)÷,其中x=,y=

查看答案和解析>>

科目: 来源:江苏省苏州昆山市2017年中考数学一轮复习专题练习《分式》 题型:解答题

先化简,再求值:÷,其中a=2016.

查看答案和解析>>

同步练习册答案