相关习题
 0  314811  314819  314825  314829  314835  314837  314841  314847  314849  314855  314861  314865  314867  314871  314877  314879  314885  314889  314891  314895  314897  314901  314903  314905  314906  314907  314909  314910  314911  314913  314915  314919  314921  314925  314927  314931  314937  314939  314945  314949  314951  314955  314961  314967  314969  314975  314979  314981  314987  314991  314997  315005  366461 

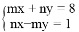
科目: 来源:云南省曲靖市2016-2017学年七年级下学期期末考试数学试卷 题型:单选题

已知是二元一次方程组的解,则2m-n的算术平方根为( )

A. ±2 B. C. 4 D. 2

查看答案和解析>>

科目: 来源:云南省曲靖市2016-2017学年七年级下学期期末考试数学试卷 题型:单选题

已知下列各数:3.14,0.1010010001,0.0123,兀, ,其中无理数的个数有( )

A. 1个 B. 2个 C. 3个 D. 4个

查看答案和解析>>

科目: 来源:云南省曲靖市2016-2017学年七年级下学期期末考试数学试卷 题型:单选题

如果点P(2x+6,x﹣4)在平面直角坐标系的第四象限内,那么x的取值范围在数轴上可表示为(  )

A. B. C. D.

查看答案和解析>>

科目: 来源:云南省曲靖市2016-2017学年七年级下学期期末考试数学试卷 题型:单选题

如图,已知AB∥CD,E是AB上一点,ED平分∠BEC交CD于点D,∠BEC=100°,则∠D的度数是( )

A. 50° B. 100° C. 80° D. 60°

查看答案和解析>>

科目: 来源:云南省曲靖市2016-2017学年七年级下学期期末考试数学试卷 题型:单选题

的平方根是( )

A. ±3 B. 3 C. ±9 D. 9

查看答案和解析>>

科目: 来源:云南省曲靖市2016-2017学年七年级下学期期末考试数学试卷 题型:单选题

如图,所有正方形的中心均在坐标原点,且各边与x轴或y轴平行,从内到外,它们的边长依次为2,4,6,8 …,顶点依次为A1,A2,A3,A4,A5,…,则顶点A55的坐标是( )

A. (13,13) B. (-13,-13) C. (-14,-14) D. (14,14)

查看答案和解析>>

科目: 来源:云南省曲靖市2016-2017学年七年级下学期期末考试数学试卷 题型:填空题

在方程4x-2y=7中,如果用含x的式子表示y,则y=___________________.

查看答案和解析>>

科目: 来源:云南省曲靖市2016-2017学年七年级下学期期末考试数学试卷 题型:填空题

已知点P的坐标为(5,a),且点P在一、三象限角平分线上,则a=_________.

查看答案和解析>>

科目: 来源:云南省曲靖市2016-2017学年七年级下学期期末考试数学试卷 题型:填空题

请把命题“对顶角相等。”写成“如果……,那么……。”的形式:_______________

查看答案和解析>>

科目: 来源:云南省曲靖市2016-2017学年七年级下学期期末考试数学试卷 题型:填空题

关于x、y的二元一次方程组的解满足x+y>2,则a的取值范围为__________.

查看答案和解析>>

同步练习册答案