相关习题
 0  314813  314821  314827  314831  314837  314839  314843  314849  314851  314857  314863  314867  314869  314873  314879  314881  314887  314891  314893  314897  314899  314903  314905  314907  314908  314909  314911  314912  314913  314915  314917  314921  314923  314927  314929  314933  314939  314941  314947  314951  314953  314957  314963  314969  314971  314977  314981  314983  314989  314993  314999  315007  366461 

科目: 来源:四川省实验学校2016-2017学年八年级下学期第三次月考数学试卷 题型:填空题

分解因式:2x2-2=___________________。

查看答案和解析>>

科目: 来源:四川省实验学校2016-2017学年八年级下学期第三次月考数学试卷 题型:填空题

当分式的值为0时,x的值是_______.

查看答案和解析>>

科目: 来源:四川省实验学校2016-2017学年八年级下学期第三次月考数学试卷 题型:填空题

一个多边形的内角和是900°,则这个多边形的边数是_______.

查看答案和解析>>

科目: 来源:四川省实验学校2016-2017学年八年级下学期第三次月考数学试卷 题型:填空题

如图,△ABC中,∠BAC=110°,AB、AC的垂直平分线分别交BC于点E、F,则∠EAF的度数为______.

查看答案和解析>>

科目: 来源:四川省实验学校2016-2017学年八年级下学期第三次月考数学试卷 题型:填空题

如图,△ABC中,∠BAC=90°,∠B=30°,AD⊥BC于D,CE是∠ACB的平分线,且交AD于P点.如果AP=2,则AB的长为______.

查看答案和解析>>

科目: 来源:四川省实验学校2016-2017学年八年级下学期第三次月考数学试卷 题型:解答题

(1)因式分【解析】
9(m+n)2﹣(m﹣n)2;

(2)解方程:1﹣=

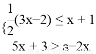
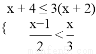
(3)解下列不等式组,并把解在数轴上表示上出来:

(4)先化简,再求值:,其中

查看答案和解析>>

科目: 来源:四川省实验学校2016-2017学年八年级下学期第三次月考数学试卷 题型:解答题

已知二次三项式有一个因式是,求另一个因式以及m的值.

查看答案和解析>>

科目: 来源:四川省实验学校2016-2017学年八年级下学期第三次月考数学试卷 题型:解答题

如图,在平面直角坐标系xOy中,△ABC的三个顶点坐标分别为A(1,1),B(4,0),C(4,4).

(1)按下列要求作图:

①将△ABC向左平移4个单位,得到△A1B1C1;

②将△A1B1C1绕点B1逆时针旋转90°,得到△A2B2C2.

(2)求点C1在旋转过程中所经过的路径长.

查看答案和解析>>

科目: 来源:四川省实验学校2016-2017学年八年级下学期第三次月考数学试卷 题型:解答题

若关于x的不等式组,有且仅有五个整数解,且关于x的分式方程-=3有整数解,则所有满足条件的整数a的值之和.

查看答案和解析>>

科目: 来源:四川省实验学校2016-2017学年八年级下学期第三次月考数学试卷 题型:解答题

如图,在四边形ABCD中,∠BAC=∠ACD=90°,∠B=∠D.

(1)求证:四边形ABCD是平行四边形;

(2)若AB=6cm,BC=10cm,AE=AB,点P从B点出发,以2cm/s的速度沿BC→CD→DA运动至A点停止,则从运动开始经过多少时间,△BEP为等腰三角形?

查看答案和解析>>

同步练习册答案