相关习题
 0  314816  314824  314830  314834  314840  314842  314846  314852  314854  314860  314866  314870  314872  314876  314882  314884  314890  314894  314896  314900  314902  314906  314908  314910  314911  314912  314914  314915  314916  314918  314920  314924  314926  314930  314932  314936  314942  314944  314950  314954  314956  314960  314966  314972  314974  314980  314984  314986  314992  314996  315002  315010  366461 

科目: 来源:江苏省2017届九年级模拟检测数学试卷 题型:填空题

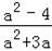
化简: =______.

查看答案和解析>>

科目: 来源:江苏省2017届九年级模拟检测数学试卷 题型:填空题

同时抛掷两枚质地均匀的硬币,出现“一正一反”的概率是

查看答案和解析>>

科目: 来源:江苏省2017届九年级模拟检测数学试卷 题型:填空题

已知反比例函数y=的图象经过点A(﹣3,2),则当x=﹣2时,y=______.

查看答案和解析>>

科目: 来源:江苏省2017届九年级模拟检测数学试卷 题型:填空题

如图,四边形ABCD为⊙O的内接四边形,已知∠BOD= 100°,则∠BCD=____。

查看答案和解析>>

科目: 来源:江苏省2017届九年级模拟检测数学试卷 题型:填空题

一元二次方程x2+mx+2m=0(m≠0)的两个实根分别为x1,x2,则=______.

查看答案和解析>>

科目: 来源:江苏省2017届九年级模拟检测数学试卷 题型:填空题

如图,在Rt△OAB中,∠AOB=45°,AB=2,将Rt△OAB绕O点顺时针旋转90°得到Rt△OCD,则AB扫过的面积为

查看答案和解析>>

科目: 来源:江苏省2017届九年级模拟检测数学试卷 题型:填空题

二次函数y=ax2+bx+c(a≠0)中的自变量x与函数值y的部分对应值如下表:

x

﹣1

0

1

y

﹣2

﹣2

0

则ax2+bx+c=0的解为______.

查看答案和解析>>

科目: 来源:江苏省2017届九年级模拟检测数学试卷 题型:填空题

如图,在矩形ABCD中,AB=5,BC=6,点E是AD上一点,把△BAE沿BE向矩形内部折叠,当点A的对应点A1恰落在∠ADC的平分线上时,DA1=

查看答案和解析>>

科目: 来源:江苏省2017届九年级模拟检测数学试卷 题型:解答题

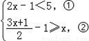
解不等式组并把它的解集在数轴上表示出来.

查看答案和解析>>

科目: 来源:江苏省2017届九年级模拟检测数学试卷 题型:解答题

先化简,再求值:÷﹣1,其中a=

查看答案和解析>>

同步练习册答案