相关习题
 0  314827  314835  314841  314845  314851  314853  314857  314863  314865  314871  314877  314881  314883  314887  314893  314895  314901  314905  314907  314911  314913  314917  314919  314921  314922  314923  314925  314926  314927  314929  314931  314935  314937  314941  314943  314947  314953  314955  314961  314965  314967  314971  314977  314983  314985  314991  314995  314997  315003  315007  315013  315021  366461 

科目: 来源:内蒙古毕业第一次模拟考试数学试卷 题型:单选题

下列说法正确的有

的值在3和4之间;

②当时,关于x的一元二次方程有两个相等的实数根;

③命题“对顶角相等”的逆命题是真命题;

④十边形的内角和为1440º;

⑤等边三角形既是轴对称图形又是中心对称图形.

A. 1个 B. 2个 C. 3个 D. 4个

查看答案和解析>>

科目: 来源:内蒙古毕业第一次模拟考试数学试卷 题型:单选题

如图,在空白网格内将某一个小正方形涂成阴影部分,且所涂的小正方形与原阴影图形的小正方形至少有一边重合.小红按要求涂了一个正方形,所得到的阴影图形恰好是轴对称图形的概率为

A. B. C. D.

查看答案和解析>>

科目: 来源:内蒙古毕业第一次模拟考试数学试卷 题型:单选题

如图,在正方形ABCD中,AB=3cm,动点M自A点出发沿AB方向以每秒1cm的速度运动,同时动点N从A点出发沿折线AD→DC→CB以每秒3cm的速度运动,到达B时运动同时停止,设△AMN的面积为y(cm2),运动时间为x(秒),则下列图象中能大致反映之间的函数关系的是

A. B. C. D.

查看答案和解析>>

科目: 来源:内蒙古毕业第一次模拟考试数学试卷 题型:填空题

随着空气质量的恶化,雾霾天气现象增多,危害加重.森林是“地球之肺”,每年能为人类提供大约亿吨的有机物,亿可用科学记数法表示为______.

查看答案和解析>>

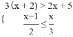
科目: 来源:内蒙古毕业第一次模拟考试数学试卷 题型:填空题

不等式组的最小整数解是__________.

查看答案和解析>>

科目: 来源:内蒙古毕业第一次模拟考试数学试卷 题型:填空题

新定义:[a,b]为一次函数y=ax+b(a≠0,a,b为实数的“关联数”.若“关联数”为的一次函数是正比例函数,则关于的方程的解为____.

查看答案和解析>>

科目: 来源:内蒙古毕业第一次模拟考试数学试卷 题型:填空题

如图,在△ABC中,CA=CB,∠ACB=90°,AB=,点D为AB的中点,以点D为圆心作圆心角为90°的扇形DEF,点C恰好在弧EF上,则图中阴影部分的面积为________(结果保留π)

查看答案和解析>>

科目: 来源:内蒙古毕业第一次模拟考试数学试卷 题型:填空题

如图,△ABC、△DCE、△FEG为等边三角形,边长分别为2、3、5,且从左至右如图排列,连接BF,交DC、DE分别于M、N两点,则△DMN的面积为______.

查看答案和解析>>

科目: 来源:内蒙古毕业第一次模拟考试数学试卷 题型:填空题

如图,下面每个图形中的四个数都是按相同的规律填写的,根据此规律确定x的值为______.

查看答案和解析>>

科目: 来源:内蒙古毕业第一次模拟考试数学试卷 题型:解答题

(1)

(2)先化简,再求代数式的值,其中=3tan30°﹣2.

查看答案和解析>>

同步练习册答案