相关习题
 0  314851  314859  314865  314869  314875  314877  314881  314887  314889  314895  314901  314905  314907  314911  314917  314919  314925  314929  314931  314935  314937  314941  314943  314945  314946  314947  314949  314950  314951  314953  314955  314959  314961  314965  314967  314971  314977  314979  314985  314989  314991  314995  315001  315007  315009  315015  315019  315021  315027  315031  315037  315045  366461 

科目: 来源:广东省2016-2017学年七年级下学期第二次月考数学(B卷)试卷 题型:单选题

若不等式组的解集为1≤x≤3,则图中表示正确的是( )

A. B.

C. D.

查看答案和解析>>

科目: 来源:广东省2016-2017学年七年级下学期第二次月考数学(B卷)试卷 题型:单选题

有下列四个命题:①对顶角相等;②过直线外一点有且只有一条直线与已知直线平行;③平面内,过一点有且只有一条直线与已知直线垂直;④直角三角形中,斜边大于直角边. 其中是假命题的个数有( )

A. 0个 B. 1个 C. 2个 D. 3个

查看答案和解析>>

科目: 来源:广东省2016-2017学年七年级下学期第二次月考数学(B卷)试卷 题型:单选题

如图,AD∥BC,∠B=30°,DB平分∠ADE,则∠DEC的度数为( )

A. 30° B. 60° C. 90° D. 120°

查看答案和解析>>

科目: 来源:广东省2016-2017学年七年级下学期第二次月考数学(B卷)试卷 题型:单选题

把点P1(2,一3)向右平移3个单位长度再向下平移2个单位长度到达点P2处,则P2的坐标是(  )

A. (5,-1) B. (-1,-5) C. (5,-5) D. (-1,-1)

查看答案和解析>>

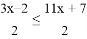
科目: 来源:广东省2016-2017学年七年级下学期第二次月考数学(B卷)试卷 题型:单选题

在解不等式的过程中,其中造成错误的一步是( )

①去分母,得 ②移项,得

③合并同类项,得 ④系数化为1,得

A. ① B. ② C. ③ D. ④

查看答案和解析>>

科目: 来源:广东省2016-2017学年七年级下学期第二次月考数学(B卷)试卷 题型:填空题

已知x的与5的差不小于3,用不等式表示为__________________________

查看答案和解析>>

科目: 来源:广东省2016-2017学年七年级下学期第二次月考数学(B卷)试卷 题型:填空题

在平面直角坐标系中,点(3,-5)在第_______象限.

查看答案和解析>>

科目: 来源:广东省2016-2017学年七年级下学期第二次月考数学(B卷)试卷 题型:填空题

如果,那么=__________,=_____________.

查看答案和解析>>

科目: 来源:广东省2016-2017学年七年级下学期第二次月考数学(B卷)试卷 题型:填空题

是二元一次方程, 则=____________ .

查看答案和解析>>

科目: 来源:广东省2016-2017学年七年级下学期第二次月考数学(B卷)试卷 题型:填空题

点P(-2,4)与点Q关于y轴对称,则点Q的坐标是__________.

查看答案和解析>>

同步练习册答案