相关习题
 0  314853  314861  314867  314871  314877  314879  314883  314889  314891  314897  314903  314907  314909  314913  314919  314921  314927  314931  314933  314937  314939  314943  314945  314947  314948  314949  314951  314952  314953  314955  314957  314961  314963  314967  314969  314973  314979  314981  314987  314991  314993  314997  315003  315009  315011  315017  315021  315023  315029  315033  315039  315047  366461 

科目: 来源:江苏省扬州市2017届九年级4月月考数学试卷 题型:填空题

某药品原价是100元,经连续两次降价后,价格变为64元,如果每次降价的百分率是一样的,那么每次降价的百分率是

查看答案和解析>>

科目: 来源:江苏省扬州市2017届九年级4月月考数学试卷 题型:填空题

一个y关于x的函数同时满足两个条件:①图象过(2,1)点;②当x>0时,y随x的增大而减小.这个函数解析式为 .(写出一个即可)

查看答案和解析>>

科目: 来源:江苏省扬州市2017届九年级4月月考数学试卷 题型:填空题

圆柱的底面周长为,高为1,则该圆柱的表面积为_ _.

查看答案和解析>>

科目: 来源:江苏省扬州市2017届九年级4月月考数学试卷 题型:填空题

若关于的分式方程的解为正数,则的取值范围_ .

查看答案和解析>>

科目: 来源:江苏省扬州市2017届九年级4月月考数学试卷 题型:填空题

如图,点A在双曲线的第二象限的那一支上,AB垂直于y轴于点B,点C在x轴负半轴上,且OC=2AB,点E在线段AC上,且AE=2EC,点D为OB的中点,若△ADE的面积为3,则k的值为__________.

查看答案和解析>>

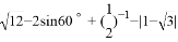
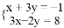
科目: 来源:江苏省扬州市2017届九年级4月月考数学试卷 题型:解答题

(1)计算:

(2)解方程组:

查看答案和解析>>

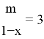
科目: 来源:江苏省扬州市2017届九年级4月月考数学试卷 题型:解答题

先化简再求值:,其中x是方程的根.

查看答案和解析>>

科目: 来源:江苏省扬州市2017届九年级4月月考数学试卷 题型:解答题

某校为了了解九年级学生的体能情况,抽调了一部分学生进行一分钟跳绳测试,将测试成绩整理后作出如下统计图.甲同学计算出第二组的频率是0.08,乙同学计算出从左至右第一、二、三、四组的频数比为2:4:17:15.结合统计图回答下列问题:

(1)这次共抽调了多少人?

(2)若跳绳次数不少于130次为优秀,则这次测试成绩的优秀率是多少?

(3)若该校九年级有600名学生,请估计该校九年级达到优秀的人数是多少?

查看答案和解析>>

科目: 来源:江苏省扬州市2017届九年级4月月考数学试卷 题型:解答题

如图,正方形网格中每个小正方形边长都是,每个小格的顶点叫格点,以格点为顶点的三角形叫做格点三角形.①求格点△的面积;②在网格图中画出△先向右平移个单位,再向上平移个单位后的△;③画出格点△绕点顺时针旋转90°后的△.

查看答案和解析>>

科目: 来源:江苏省扬州市2017届九年级4月月考数学试卷 题型:解答题

如图,已知△ABC,按如下步骤作图:①分别以A、C为圆心,以大于的长为半径在AC两边作弧,交于两点M、N;②作直线MN,分别交AB、AC于点D、O;③过C作CE∥AB交MN于点E,连接AE、CD.

(1)求证:四边形ADCE是菱形;

(2)当∠ACB90°,BC6,AB10,求四边形ADCE的面积.

查看答案和解析>>

同步练习册答案