相关习题
 0  314858  314866  314872  314876  314882  314884  314888  314894  314896  314902  314908  314912  314914  314918  314924  314926  314932  314936  314938  314942  314944  314948  314950  314952  314953  314954  314956  314957  314958  314960  314962  314966  314968  314972  314974  314978  314984  314986  314992  314996  314998  315002  315008  315014  315016  315022  315026  315028  315034  315038  315044  315052  366461 

科目: 来源:江苏省无锡市2016-2017学年七年级下学期期末考试数学试卷(有全等) 题型:填空题

如图,A、B两点分别位于一个池塘的两端,C是AD的中点,也是BE的中点,若DE=20米,则AB的长为____________米.

查看答案和解析>>

科目: 来源:江苏省无锡市2016-2017学年七年级下学期期末考试数学试卷(有全等) 题型:填空题

若多项式是一个完全平方式,则的值为__________.

查看答案和解析>>

科目: 来源:江苏省无锡市2016-2017学年七年级下学期期末考试数学试卷(有全等) 题型:填空题

如图,将△ABC沿DE、EF翻折,顶点A,B均落在点O处,且EA与EB重合于线段EO,若∠CDO+∠CFO=88°,则∠C的度数为=___________.

查看答案和解析>>

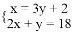
科目: 来源:江苏省无锡市2016-2017学年七年级下学期期末考试数学试卷(有全等) 题型:填空题

若二元一次方程组的解的值恰好是一个等腰三角形两边的长, 且这个等腰三角形的周长为7,则的值为____________.

查看答案和解析>>

科目: 来源:江苏省无锡市2016-2017学年七年级下学期期末考试数学试卷(有全等) 题型:解答题

计算:(1) (2)

查看答案和解析>>

科目: 来源:江苏省无锡市2016-2017学年七年级下学期期末考试数学试卷(有全等) 题型:解答题

因式分【解析】
(1) (2)

查看答案和解析>>

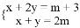
科目: 来源:江苏省无锡市2016-2017学年七年级下学期期末考试数学试卷(有全等) 题型:解答题

(1)解方程组: (2)求不等式的最大整数解.

查看答案和解析>>

科目: 来源:江苏省无锡市2016-2017学年七年级下学期期末考试数学试卷(有全等) 题型:解答题

先化简,再求值: ,其中

查看答案和解析>>

科目: 来源:江苏省无锡市2016-2017学年七年级下学期期末考试数学试卷(有全等) 题型:解答题

已知

(1)用含的代数式表示的形式为

(2)若,求的取值范围.

查看答案和解析>>

科目: 来源:江苏省无锡市2016-2017学年七年级下学期期末考试数学试卷(有全等) 题型:解答题

如图,在△ABC和△DEF中,已知AB= DE,BE= CF,∠B=∠1,求证:AC∥DF.

查看答案和解析>>

同步练习册答案