相关习题
 0  314863  314871  314877  314881  314887  314889  314893  314899  314901  314907  314913  314917  314919  314923  314929  314931  314937  314941  314943  314947  314949  314953  314955  314957  314958  314959  314961  314962  314963  314965  314967  314971  314973  314977  314979  314983  314989  314991  314997  315001  315003  315007  315013  315019  315021  315027  315031  315033  315039  315043  315049  315057  366461 

科目: 来源:江苏省附属初级中学2017届九年级下学期第一次月考数学试卷 题型:单选题

在由相同的小正方形组成的3×4的网格中,有3个小正方形已经涂黑,请你再涂黑一个小正方形,使涂黑的四个小正方形中,其中两个可以由另外两个平移得到,则还需要涂黑的小正方形序号是( )

A. ①或② B. ③或④ C. ⑤或⑥ D. ①或⑨

查看答案和解析>>

科目: 来源:江苏省附属初级中学2017届九年级下学期第一次月考数学试卷 题型:单选题

如图,矩形ABCD中,AB=3,BC=4,点P从A点出发,按A→B→C的方向在AB和BC上移动.记PA=x,点D到直线PA的距离为y,则y关于x的函数关系的大致图像是( )

A. B. C. D.

查看答案和解析>>

科目: 来源:江苏省附属初级中学2017届九年级下学期第一次月考数学试卷 题型:单选题

抛物线经过点A(2,4),顶点在第四象限,则a的取值范围是( )

A. a>4 B. 0<a<4 C. a>2 D. 0<a<2

查看答案和解析>>

科目: 来源:江苏省附属初级中学2017届九年级下学期第一次月考数学试卷 题型:单选题

代数式a ()2-+c的值为( )

A. -1 B. 0 C. 1 D. 2

查看答案和解析>>

科目: 来源:江苏省附属初级中学2017届九年级下学期第一次月考数学试卷 题型:填空题

数字12800000用科学记数法表示为__________.

查看答案和解析>>

科目: 来源:江苏省附属初级中学2017届九年级下学期第一次月考数学试卷 题型:填空题

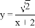
函数中自变量x的取值范围是_________.

查看答案和解析>>

科目: 来源:江苏省附属初级中学2017届九年级下学期第一次月考数学试卷 题型:填空题

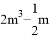
多项式分解因式的结果是_______.

查看答案和解析>>

科目: 来源:江苏省附属初级中学2017届九年级下学期第一次月考数学试卷 题型:填空题

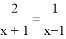
不等式组的解集为________.

查看答案和解析>>

科目: 来源:江苏省附属初级中学2017届九年级下学期第一次月考数学试卷 题型:填空题

分式方程的解为x=_____.

查看答案和解析>>

科目: 来源:江苏省附属初级中学2017届九年级下学期第一次月考数学试卷 题型:填空题

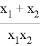
关于x的方程x2+mx+2m=0(m≠0)的两个实根分别为x1,x2,则 =_____.

查看答案和解析>>

同步练习册答案