相关习题
 0  314871  314879  314885  314889  314895  314897  314901  314907  314909  314915  314921  314925  314927  314931  314937  314939  314945  314949  314951  314955  314957  314961  314963  314965  314966  314967  314969  314970  314971  314973  314975  314979  314981  314985  314987  314991  314997  314999  315005  315009  315011  315015  315021  315027  315029  315035  315039  315041  315047  315051  315057  315065  366461 

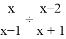
科目: 来源:江苏省扬州市江都区五校联谊2016-2017学年八年级下学期第二次月考考试数学试卷 题型:单选题

若代数式 有意义,则下面四个数值中x可以取的是( )

A. -1 B. 0 C. 1 D. 2

查看答案和解析>>

科目: 来源:江苏省扬州市江都区五校联谊2016-2017学年八年级下学期第二次月考考试数学试卷 题型:单选题

反比例函数y=(k≠0)的图象经过点P(3,2),则下列点也在这个函数图象上的是(  )

A. (﹣3,2) B. (1,﹣6) C. (﹣2,3) D. (﹣2,﹣3)

查看答案和解析>>

科目: 来源:江苏省扬州市江都区五校联谊2016-2017学年八年级下学期第二次月考考试数学试卷 题型:单选题

今年江都区有近8千名考生参加中考,为了了解这些考生的数学成绩,从中抽取500名考生的数学成绩进行统计分析,以下说法正确的是(  )

A. 这500名考生是总体的一个样本 B. 近8千名考生的数学成绩之和是总体

C. 每位考生的数学成绩是个体 D. 样本容量是100名学生

查看答案和解析>>

科目: 来源:江苏省扬州市江都区五校联谊2016-2017学年八年级下学期第二次月考考试数学试卷 题型:单选题

在函数(k为常数)的图象上有三个点(﹣2,y1),(﹣1,y2),(,y3),函数值y1,y2,y3的大小为(  )

A. y1>y2>y3 B. y2>y1>y3 C. y2>y3>y1 D. y3>y1>y2

查看答案和解析>>

科目: 来源:江苏省扬州市江都区五校联谊2016-2017学年八年级下学期第二次月考考试数学试卷 题型:单选题

如图,在平面直角坐标系中,点P(1,4)、Q(m,n)在函数y=(x>0)的图象上,当m>1时,过点P分别作x轴、y轴的垂线,垂足为点A,B;过点Q分别作x轴、y轴的垂线,垂足为点C、D.QD交PA于点E,随着m的增大,四边形ACQE的面积( )

A. 减小 B. 不变 C. 增大 D. 先增大后减小

查看答案和解析>>

科目: 来源:江苏省扬州市江都区五校联谊2016-2017学年八年级下学期第二次月考考试数学试卷 题型:填空题

当x=2016时,分式的值为_______.

查看答案和解析>>

科目: 来源:江苏省扬州市江都区五校联谊2016-2017学年八年级下学期第二次月考考试数学试卷 题型:填空题

一只不透明的袋子中装有20个白球、10个黄球和30个红球,每个球除颜色外都相同,将球搅匀,从中任意摸出一个球,则下列事件:(1)该球是白球;(2)该球是黄球;(3)该球不是黄球;(4)该球是红球,按发生的可能性大小从小到大依次排序为:_____(只填写序号)

查看答案和解析>>

科目: 来源:江苏省扬州市江都区五校联谊2016-2017学年八年级下学期第二次月考考试数学试卷 题型:填空题

已知(a≠0,b≠0),则代数式 的值等于__.

查看答案和解析>>

科目: 来源:江苏省扬州市江都区五校联谊2016-2017学年八年级下学期第二次月考考试数学试卷 题型:填空题

如图,在Rt△ABC中,∠ACB=90°,∠A=18°,将△ABC绕点C按顺时针方向旋转后得到△EDC,

此时点D在AB边上,则旋转角的大小为_______.

查看答案和解析>>

科目: 来源:江苏省扬州市江都区五校联谊2016-2017学年八年级下学期第二次月考考试数学试卷 题型:填空题

如图,已知的对角线AC、BD相交于点O,点E是CD的中点,若BD=12cm, △DOE的周长为15cm,则的周长为______cm.

查看答案和解析>>

同步练习册答案