相关习题
 0  314872  314880  314886  314890  314896  314898  314902  314908  314910  314916  314922  314926  314928  314932  314938  314940  314946  314950  314952  314956  314958  314962  314964  314966  314967  314968  314970  314971  314972  314974  314976  314980  314982  314986  314988  314992  314998  315000  315006  315010  315012  315016  315022  315028  315030  315036  315040  315042  315048  315052  315058  315066  366461 

科目: 来源:2017年春苏科版数学八年级下册第十二章二次根式单元试卷 题型:填空题

已知y=++5,则=________。

查看答案和解析>>

科目: 来源:2017年春苏科版数学八年级下册第十二章二次根式单元试卷 题型:填空题

若x-y=,xy=,则代数式(x-1)(y+1)的值等于___________。

查看答案和解析>>

科目: 来源:2017年春苏科版数学八年级下册第十二章二次根式单元试卷 题型:解答题

计算:

①(3﹣)(3+)+(2﹣

查看答案和解析>>

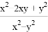
科目: 来源:2017年春苏科版数学八年级下册第十二章二次根式单元试卷 题型:解答题

已知x,y为实数,且,求的值.

查看答案和解析>>

科目: 来源:2017年春苏科版数学八年级下册第十二章二次根式单元试卷 题型:解答题

已知y=+﹣4,计算x﹣y2的值.

查看答案和解析>>

科目: 来源:2017年春苏科版数学八年级下册第十二章二次根式单元试卷 题型:解答题

已知,求(m+n)2016的值?

查看答案和解析>>

科目: 来源:2017年春苏科版数学八年级下册第十二章二次根式单元试卷 题型:解答题

已知,求的值。

查看答案和解析>>

科目: 来源:2017年春苏科版数学八年级下册第十二章二次根式单元试卷 题型:解答题

在进行二次根式的运算时,如遇到这样的式子,还需做进一步的化简:

====﹣1.

还可以用以下方法化简:

====﹣1.

这种化去分母中根号的运算叫分母有理化.

分别用上述两种方法化简:

查看答案和解析>>

科目: 来源:江苏省扬州市江都区五校联谊2016-2017学年八年级下学期第二次月考考试数学试卷 题型:单选题

下列图形是我国国产品牌汽车的标识,在这些汽车标识中,是中心对称图形的是(  )

A. B. C. D.

查看答案和解析>>

科目: 来源:江苏省扬州市江都区五校联谊2016-2017学年八年级下学期第二次月考考试数学试卷 题型:单选题

下列四种调查:①调查某班学生的身高情况;②调查某城市的空气质量;③调查某风景区全年的游客流量;④调查某批汽车的抗撞击能力,其中适合用全面调查方式(普查)的是( )

A. ① B. ② C. ③ D. ④

查看答案和解析>>

同步练习册答案