相关习题
 0  314883  314891  314897  314901  314907  314909  314913  314919  314921  314927  314933  314937  314939  314943  314949  314951  314957  314961  314963  314967  314969  314973  314975  314977  314978  314979  314981  314982  314983  314985  314987  314991  314993  314997  314999  315003  315009  315011  315017  315021  315023  315027  315033  315039  315041  315047  315051  315053  315059  315063  315069  315077  366461 

科目: 来源:山东省淄博市2016-2017学年八年级下学期期中考试数学试卷 题型:单选题

如右图,,且,则的度数是( )

A. B. C. D.

查看答案和解析>>

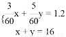
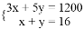
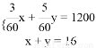
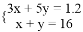
科目: 来源:山东省淄博市2016-2017学年八年级下学期期中考试数学试卷 题型:单选题

小颖家离学校1200米,其中有一段为上坡路,另一段为下坡路.她去学校共用了16分钟.假设小颖上坡路的平均速度是3千米/时,下坡路的平均速度是5千米/时.若设小颖上坡用了x分钟,下坡用了y分钟,根据题意可列方程组为(  )

A. B. C. D.

查看答案和解析>>

科目: 来源:山东省淄博市2016-2017学年八年级下学期期中考试数学试卷 题型:单选题

已知密文和明文的对应规则为:明文a、b对应的密文为ma-nb、na+mb.例如,明文1、2对应的密文是-3,4.若密文是1,7时,则对应的明文是( )

A. -1,1 B. 1,3

C. 3,1 D. 1,l

查看答案和解析>>

科目: 来源:山东省淄博市2016-2017学年八年级下学期期中考试数学试卷 题型:单选题

如图,已知∠1=60°,∠A+∠B+∠C+∠D+∠E+∠F=( )

A. 360° B. 540° C. 240° D. 280°

查看答案和解析>>

科目: 来源:山东省淄博市2016-2017学年八年级下学期期中考试数学试卷 题型:填空题

方程ax-y=3的解是则a的值是_______.

查看答案和解析>>

科目: 来源:山东省淄博市2016-2017学年八年级下学期期中考试数学试卷 题型:填空题

如图,一个正六边形转盘被分成6个全等的正三角形,任意旋转这个转盘1次,当旋转停止时,指针指向阴影区域的概率是

查看答案和解析>>

科目: 来源:山东省淄博市2016-2017学年八年级下学期期中考试数学试卷 题型:填空题

如图,已知函数y=ax+b和y=cx+d的图象交于点M,则根据图象可知,关于x,y的二元一次方程组的解为______.

查看答案和解析>>

科目: 来源:山东省淄博市2016-2017学年八年级下学期期中考试数学试卷 题型:填空题

已知:直线l1∥l2,一块含30°角的直角三角板如图所示放置,∠1=25°,则∠2等于_________

查看答案和解析>>

科目: 来源:山东省淄博市2016-2017学年八年级下学期期中考试数学试卷 题型:填空题

如果,则的值为__________

查看答案和解析>>

科目: 来源:山东省淄博市2016-2017学年八年级下学期期中考试数学试卷 题型:解答题

解方程组 (1) (2)

查看答案和解析>>

同步练习册答案