相关习题
 0  314884  314892  314898  314902  314908  314910  314914  314920  314922  314928  314934  314938  314940  314944  314950  314952  314958  314962  314964  314968  314970  314974  314976  314978  314979  314980  314982  314983  314984  314986  314988  314992  314994  314998  315000  315004  315010  315012  315018  315022  315024  315028  315034  315040  315042  315048  315052  315054  315060  315064  315070  315078  366461 

科目: 来源:江苏省泰兴市2016-2017学年七年级下学期期末考试数学试卷 题型:解答题

某商场销售A,B两种品牌的教学设备,这两种教学设备的进价和售价如下表所示:

该商场计划购进两种教学设备若干台,共需66万元,全部销售后可获毛利润9万元.

(毛利润=(售价 - 进价)×销售量)

(1)该商场计划购进A,B两种品牌的教学设备各多少台?

(2)通过市场调研,该商场决定在原计划的基础上,减少A型设备的购进数量,增加B型设备的购进数量,已知B型设备增加的数量是A型设备减少数量的1.5倍.若用于购进这两种型号教学设备的总资金不超过68.7万元,问A型设备购进数量至多减少多少台?

查看答案和解析>>

科目: 来源:江苏省泰兴市2016-2017学年七年级下学期期末考试数学试卷 题型:解答题

已知如图,∠COD=90°,直线AB与OC交于点B,与OD交于点A,射线OE与射线AF交于点G.

(1)若OE平分∠BOA,AF平分∠BAD,∠OBA=42°,则∠OGA=

(2)若∠GOA=∠BOA,∠GAD=∠BAD,∠OBA=42°,则∠OGA=

(3)将(2)中的“∠OBA=42°”改为“∠OBA=”,其它条件不变,求∠OGA的度数.(用含的代数式表示)

(4)若OE将∠BOA分成1︰2两部分,AF平分∠BAD,∠ABO=(30°<<90°) ,求∠OGA的度数.(用含的代数式表示)

查看答案和解析>>

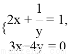
科目: 来源:山东省淄博市2016-2017学年八年级下学期期中考试数学试卷 题型:单选题

下列方程组中,属于二元一次方程组的是 ( )

A. B. C. D.

查看答案和解析>>

科目: 来源:山东省淄博市2016-2017学年八年级下学期期中考试数学试卷 题型:单选题

二元一次方程5x-11y=21 ( )

A. 只有一组解 B. 只有两组解 C. 无解 D. 有无数组解

查看答案和解析>>

科目: 来源:山东省淄博市2016-2017学年八年级下学期期中考试数学试卷 题型:单选题

一个不透明的布袋里装有5个只有颜色不同的球,其中2个红球,3个白球,从布袋中随机摸出一个球,摸出红球的概率是(  )

A. B. C. D.

查看答案和解析>>

科目: 来源:山东省淄博市2016-2017学年八年级下学期期中考试数学试卷 题型:单选题

下列语句是命题的是(  )

A. 作线段的垂直平分线 B. 同位角相等

C. 两点确定一条直线吗 D. 取线段AB的中点M

查看答案和解析>>

科目: 来源:山东省淄博市2016-2017学年八年级下学期期中考试数学试卷 题型:单选题

从﹣,0,,π,3.5这五个数中,随机抽取一个,则抽到无理数的概率是(  )

A. B. C. D.

查看答案和解析>>

科目: 来源:山东省淄博市2016-2017学年八年级下学期期中考试数学试卷 题型:选择题

如图,在△ABC中,∠C=70°,若沿图中虚线截去∠C,则∠1+∠2等于(  )

A. 360° B. 250° C. 180° D. 140°

查看答案和解析>>

科目: 来源:山东省淄博市2016-2017学年八年级下学期期中考试数学试卷 题型:单选题

已知是二元一次方程组的解,则a-b的值为( )

A. -1 B. 1 C. 2 D. 3

查看答案和解析>>

科目: 来源:山东省淄博市2016-2017学年八年级下学期期中考试数学试卷 题型:单选题

丹丹想用12个除颜色外其他都一样的球设计一个摸球游戏,下面是她设计的四种方案,其中不能实现的是( )

A. 摸到白球的可能性是,摸到红球的可能性也是

B. 摸到红、白、黑球的可能性都是

C. 摸到黑球的可能性是,摸到白球的可能性是,摸到红球的可能性是

D. 摸到红球的可能性是,摸到白球、黑球的可能性各是

查看答案和解析>>

同步练习册答案