相关习题
 0  314888  314896  314902  314906  314912  314914  314918  314924  314926  314932  314938  314942  314944  314948  314954  314956  314962  314966  314968  314972  314974  314978  314980  314982  314983  314984  314986  314987  314988  314990  314992  314996  314998  315002  315004  315008  315014  315016  315022  315026  315028  315032  315038  315044  315046  315052  315056  315058  315064  315068  315074  315082  366461 

科目: 来源:江苏省泰兴市2016-2017学年七年级下学期期末考试数学试卷 题型:填空题

如图,正方形ABCD是由两个小正方形和两个小长方形组成的,根据图形写出一个正确的等式:_________.

查看答案和解析>>

科目: 来源:江苏省泰兴市2016-2017学年七年级下学期期末考试数学试卷 题型:填空题

如图,AB∥CD,则∠1+∠3—∠2的度数等于 __________.

查看答案和解析>>

科目: 来源:江苏省泰兴市2016-2017学年七年级下学期期末考试数学试卷 题型:填空题

已知,且,那么的值为________.

查看答案和解析>>

科目: 来源:江苏省泰兴市2016-2017学年七年级下学期期末考试数学试卷 题型:填空题

已知则第个等式为____________.

查看答案和解析>>

科目: 来源:江苏省泰兴市2016-2017学年七年级下学期期末考试数学试卷 题型:填空题

如果∠?与∠?的两边分别平行,∠?比∠?的3倍少36°,则∠?的度数是_________.

查看答案和解析>>

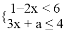
科目: 来源:江苏省泰兴市2016-2017学年七年级下学期期末考试数学试卷 题型:填空题

已知关于的不等式组只有两个整数解,则的取值范围____________.

查看答案和解析>>

科目: 来源:江苏省泰兴市2016-2017学年七年级下学期期末考试数学试卷 题型:填空题

某经销商销售一批电话手表,第一个月以550元/块的价格售出60块,第二个月起降价,以500元/块的价格将这批电话手表全部售出,销售总额超过了5.5万元.这批电话手表至少有__________块.

查看答案和解析>>

科目: 来源:江苏省泰兴市2016-2017学年七年级下学期期末考试数学试卷 题型:填空题

以下四个命题:①一个多边形的内角和为900°,从这个多边形同一个顶点可画的对角线有4条;②三角形的三条高所在的直线的交点可能在三角形的内部或外部;③多边形的所有内角中最多有3个锐角;④△ABC中,若∠A=2∠B=3∠C,则△ABC为直角三角形.其中真命题的是_______________.(填序号)

查看答案和解析>>

科目: 来源:江苏省泰兴市2016-2017学年七年级下学期期末考试数学试卷 题型:解答题

计算:(1);(2)

查看答案和解析>>

科目: 来源:江苏省泰兴市2016-2017学年七年级下学期期末考试数学试卷 题型:解答题

把下列各式分解因式:(1);(2)

查看答案和解析>>

同步练习册答案