相关习题
 0  314894  314902  314908  314912  314918  314920  314924  314930  314932  314938  314944  314948  314950  314954  314960  314962  314968  314972  314974  314978  314980  314984  314986  314988  314989  314990  314992  314993  314994  314996  314998  315002  315004  315008  315010  315014  315020  315022  315028  315032  315034  315038  315044  315050  315052  315058  315062  315064  315070  315074  315080  315088  366461 

科目: 来源:江苏省兴化市顾庄学区三校2016-2017学年七年级下学期期末考试数学试卷 题型:解答题

解不等式,把它的解集在数轴上表示出来,并求出这个不等式的负整数解.

查看答案和解析>>

科目: 来源:江苏省兴化市顾庄学区三校2016-2017学年七年级下学期期末考试数学试卷 题型:解答题

如图,点D在AB上,点E在AC上,BE、CD相交于点O.

(1)若∠A=50°,∠BOD=70°,∠C=30°,求∠B的度数;

(2)试猜想∠BOC与∠A+∠B+∠C之间的关系,并证明你猜想的正确性.

查看答案和解析>>

科目: 来源:江苏省兴化市顾庄学区三校2016-2017学年七年级下学期期末考试数学试卷 题型:解答题

学校准备购进一批节能灯,已知1只A型节能灯和3只B型节能灯共需26元;3只A型节能灯和2只B型节能灯共需29元.

(1)求一只A型节能灯和一只B型节能灯的售价各是多少元;

(2)学校准备购进这两种型号的节能灯共50只,并且A型节能灯的数量不多于B型节能灯数量的3倍,问A型节能灯最多可以买多少只?

查看答案和解析>>

科目: 来源:江苏省兴化市顾庄学区三校2016-2017学年七年级下学期期末考试数学试卷 题型:解答题

如图,△ABC中,AB=AC,AD⊥BC,CE⊥AB,AE=CE.求证:

(1)△AEF≌△CEB;

(2)AF=2CD.

查看答案和解析>>

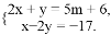
科目: 来源:江苏省兴化市顾庄学区三校2016-2017学年七年级下学期期末考试数学试卷 题型:解答题

已知关于x、y的方程组

(1)求方程组的解(用含m的代数式表示);

(2)若方程组的解满足条件x<0,且y<0,求m的取值范围.

查看答案和解析>>

科目: 来源:江苏省兴化市顾庄学区三校2016-2017学年七年级下学期期末考试数学试卷 题型:解答题

如图,直线m与直线n互相垂直,垂足为O,A、B两点同时从点O出发,点A沿直线m向左运动,点B沿直线n向上运动.

(1)若∠BAO和∠ABO的平分线相交于点P,在点A、B的运动过程中,∠APB的大小是否会发生变化?若不发生变化,请求出其值;若发生变化,请说明理由;

(2)若∠ABO的两个外角的平分线AQ、BQ相交于点Q,AP的延长线交QB的延长线于点C,在点A、B的运动过程中,∠Q和∠C的大小是否会发生变化?若不发生变 化,请求出∠Q和∠C的度数;若发生变化,请说明理由.

查看答案和解析>>

科目: 来源:江苏省兴化市顾庄学区三校2016-2017学年七年级下学期期末考试数学试卷 题型:解答题

观察下列关于自然数的等式:

a1:32-12=8×1;

a2:52-32=8×2;

a3:72-52=8×3;……

根据上述规律解决下列问题:

(1)写出第a4个等式:___________;

(2)写出你猜想的第an个等式(用含n的式子表示),并验证其正确性;

(3)对于正整数k,若ak,ak+1,ak+2为△ABC的三边,求k的取值范围.

查看答案和解析>>

科目: 来源:江苏省兴化市顾庄学区三校2016-2017学年七年级下学期期末考试数学试卷 题型:解答题

已知A=2 a -7,B=a2- 4a+3,C= a2 +6a-28,其中

(1)求证:B-A>0,并指出A与B的大小关系;

(2)阅读对B因式分解的方法:

【解析】
B=a2- 4a+3=a2- 4a+4-1=(a-2)2-1=(a-2+1)(a-2-1)=(a-1)(a-3).

请完成下面的两个问题:

①仿照上述方法分解因式:x2- 4x-96;

②指出A与C哪个大?并说明你的理由.

查看答案和解析>>

科目: 来源:江苏省扬州市2016-2017学年七年级下学期第一次月考数学试卷 题型:单选题

下列现象是数学中的平移的是( )

A. 树叶从树上落下 B. 电梯从底楼升到顶楼

C. 碟片在光驱中运行 D. 卫星绕地球运动

查看答案和解析>>

科目: 来源:江苏省扬州市2016-2017学年七年级下学期第一次月考数学试卷 题型:单选题

若∠1与∠2是内错角,∠1=40°,则( )

A. ∠2=40° B. ∠2=140°

C. ∠2=40°或∠2=140° D. ∠2的大小不确定

查看答案和解析>>

同步练习册答案