相关习题
 0  314899  314907  314913  314917  314923  314925  314929  314935  314937  314943  314949  314953  314955  314959  314965  314967  314973  314977  314979  314983  314985  314989  314991  314993  314994  314995  314997  314998  314999  315001  315003  315007  315009  315013  315015  315019  315025  315027  315033  315037  315039  315043  315049  315055  315057  315063  315067  315069  315075  315079  315085  315093  366461 

科目: 来源:江苏省扬州市江都区2016-2017学年七年级下学期期末考试数学试卷 题型:解答题

在正方形网格中,每个小正方形的边长都为1个单位长度,△ABC的三个顶点的位置如图所示,现将△ABC平移后得△DEF,使点A的对应点为点D,点B的对应点为点E.

(1)画出△DEF;

(2)连接AD、BE,则线段AD与BE的关系是

(3)求△DEF的面积.

查看答案和解析>>

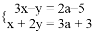
科目: 来源:江苏省扬州市江都区2016-2017学年七年级下学期期末考试数学试卷 题型:解答题

若关于的二元一次方程组的解是负数,为正数.

(1)求的取值范围;

(2)化简

查看答案和解析>>

科目: 来源:江苏省扬州市江都区2016-2017学年七年级下学期期末考试数学试卷 题型:解答题

如图1,有若干张边长为的小正方形①、长为宽为的长方形②以及边长为的大正方形③的纸片.

(1)已知小正方形①与大正方形③的面积之和为169,长方形②的周长为34,求长方形②的面积.

(2)如果现有小正方形①1张,大正方形③2张,长方形②3张,请你将它们拼成一个大长方形 (在图2虚线框内画出图形),并运用面积之间的关系,将多项式分解因式.

查看答案和解析>>

科目: 来源:江苏省扬州市江都区2016-2017学年七年级下学期期末考试数学试卷 题型:解答题

如图①,△ABC中, BD平分∠ABC,且与△ABC的外角∠ACE的角平分线交于点D.

(1)若,求∠D的度数;

(2)若把∠A截去,得到四边形MNCB,如图②,猜想∠D、∠M、∠N的关系,并说明理由.

查看答案和解析>>

科目: 来源:江苏省扬州市江都区2016-2017学年七年级下学期期末考试数学试卷 题型:解答题

按如下程序进行计算:

规定:程序运行到“结果是否55”为一次运算.

(1)若=8,则输出结果是

(2)若程序一次运算就输出结果,求x的最小值;

(3)若程序运算三次才停止,则可输入的整数x是哪些?

查看答案和解析>>

科目: 来源:江苏省扬州市江都区2016-2017学年七年级下学期期末考试数学试卷 题型:解答题

在“五•一”期间,某公司组织员工到扬州瘦西湖旅游,如果租用甲种客车2辆,乙种客车3辆,则可载180人,如果租用甲种客车3辆,乙种客车1辆,则可载165人.

(1)请问甲、乙两种客车每辆分别能载客多少人?

(2)若该公司有303名员工,旅行社承诺每辆车安排一名导游,导游也需一个座位.

①现打算同时租甲、乙两种客车共8辆,请帮助旅行社设计租车方案.

②旅行前,旅行社的一名导游由于有特殊情况,旅行社只能安排7名导游,为保证所租的每辆车均有一名导游,租车方案调整为:同时租65座、45座和30座的大小三种客车,出发时,所租的三种客车的座位恰好坐满,请问旅行社的租车方案如何安排?

查看答案和解析>>

科目: 来源:江苏省扬州市江都区2016-2017学年七年级下学期期末考试数学试卷 题型:解答题

如图,△ABC中,,点D在BC所在的直线上,点E在射线AC上,且,连接DE.

(1)如图①,若,求的度数;

(2)如图②,若,求的度数;

(3)当点D在直线BC上(不与点B、C重合)运动时,试探究的数量关系,并说明理由.

查看答案和解析>>

科目: 来源:四川省外国语实验学校2017届九年级第二次模拟考试数学试卷 题型:单选题

-5的绝对值的倒数是( )

A. 5 B. -5 C. - D.

查看答案和解析>>

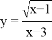
科目: 来源:四川省外国语实验学校2017届九年级第二次模拟考试数学试卷 题型:单选题

函数中,自变量的取值范围是( )

A. B. C. D.

查看答案和解析>>

科目: 来源:四川省外国语实验学校2017届九年级第二次模拟考试数学试卷 题型:单选题

下列交通标志图案是轴对称图形的是( )

A. B. C. D.

查看答案和解析>>

同步练习册答案