相关习题
 0  314900  314908  314914  314918  314924  314926  314930  314936  314938  314944  314950  314954  314956  314960  314966  314968  314974  314978  314980  314984  314986  314990  314992  314994  314995  314996  314998  314999  315000  315002  315004  315008  315010  315014  315016  315020  315026  315028  315034  315038  315040  315044  315050  315056  315058  315064  315068  315070  315076  315080  315086  315094  366461 

科目: 来源:江苏省扬州市江都区2016-2017学年七年级下学期期末考试数学试卷 题型:填空题

如图,将三角板的直角顶点放在直尺的一边上,若∠1=60°,则∠2的度数为____

查看答案和解析>>

科目: 来源:江苏省扬州市江都区2016-2017学年七年级下学期期末考试数学试卷 题型:填空题

如图,,则=____°.

查看答案和解析>>

科目: 来源:江苏省扬州市江都区2016-2017学年七年级下学期期末考试数学试卷 题型:填空题

“相等的角是对顶角”的逆命题是____命题(填“真”或“假”).

查看答案和解析>>

科目: 来源:江苏省扬州市江都区2016-2017学年七年级下学期期末考试数学试卷 题型:填空题

关于x的代数式 的展开式中不含x2项,则a=____.

查看答案和解析>>

科目: 来源:江苏省扬州市江都区2016-2017学年七年级下学期期末考试数学试卷 题型:填空题

,则____.

查看答案和解析>>

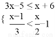
科目: 来源:江苏省扬州市江都区2016-2017学年七年级下学期期末考试数学试卷 题型:填空题

若关于x的不等式仅有两个正整数解,则m的取值范围是____.

查看答案和解析>>

科目: 来源:江苏省扬州市江都区2016-2017学年七年级下学期期末考试数学试卷 题型:填空题

△ABC的两条高的长度分别为3和6,若第三条高也为整数,则第三条高的长度为____.

查看答案和解析>>

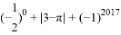
科目: 来源:江苏省扬州市江都区2016-2017学年七年级下学期期末考试数学试卷 题型:解答题

计算:

(1) (2)

查看答案和解析>>

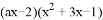
科目: 来源:江苏省扬州市江都区2016-2017学年七年级下学期期末考试数学试卷 题型:解答题

分解因式:

(1) (2)

查看答案和解析>>

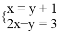
科目: 来源:江苏省扬州市江都区2016-2017学年七年级下学期期末考试数学试卷 题型:解答题

(1) 解方程组:

(2)解不等式组:,并将解集在数轴上表示出来.

查看答案和解析>>

同步练习册答案