相关习题
 0  314901  314909  314915  314919  314925  314927  314931  314937  314939  314945  314951  314955  314957  314961  314967  314969  314975  314979  314981  314985  314987  314991  314993  314995  314996  314997  314999  315000  315001  315003  315005  315009  315011  315015  315017  315021  315027  315029  315035  315039  315041  315045  315051  315057  315059  315065  315069  315071  315077  315081  315087  315095  366461 

科目: 来源:江苏省扬州市江都区2016-2017学年七年级下学期期末考试数学试卷 题型:单选题

下列图形中是内错角的是

A. B. C. D.

查看答案和解析>>

科目: 来源:江苏省扬州市江都区2016-2017学年七年级下学期期末考试数学试卷 题型:单选题

下列运算正确的是

A. (ab)2=a2b2 B. a2+a4=a6 C. (a2)3=a5 D. a2•a3=a6

查看答案和解析>>

科目: 来源:江苏省扬州市江都区2016-2017学年七年级下学期期末考试数学试卷 题型:单选题

如果是完全平方式,则常数m的值是

A. 8 B. -8 C. D. 17

查看答案和解析>>

科目: 来源:江苏省扬州市江都区2016-2017学年七年级下学期期末考试数学试卷 题型:单选题

下列各式从左边到右边的变形是因式分解的是

A. B.

C. D.

查看答案和解析>>

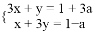
科目: 来源:江苏省扬州市江都区2016-2017学年七年级下学期期末考试数学试卷 题型:单选题

若方程组的解满足,则的值为

A. B. C. D. 不能确定

查看答案和解析>>

科目: 来源:江苏省扬州市江都区2016-2017学年七年级下学期期末考试数学试卷 题型:单选题

下列命题:①三角形的一条中线将三角形分成面积相等的两部分;②平行于同一条直线的两条直线互相平行;③若,则;④对于任意,代数式的值总是正数.其中正确命题的个数是

A. 4个 B. 3个 C. 2个 D. 1个

查看答案和解析>>

科目: 来源:江苏省扬州市江都区2016-2017学年七年级下学期期末考试数学试卷 题型:单选题

下列四个不等式组中,解为的不等式组有可能是

A. B. C. D.

查看答案和解析>>

科目: 来源:江苏省扬州市江都区2016-2017学年七年级下学期期末考试数学试卷 题型:填空题

____.

查看答案和解析>>

科目: 来源:江苏省扬州市江都区2016-2017学年七年级下学期期末考试数学试卷 题型:填空题

小明同学在百度搜索引擎中输入“中国梦,我的梦”,引擎搜索耗时0.00175秒,将这个数用科学记数法表示为____.

查看答案和解析>>

科目: 来源:江苏省扬州市江都区2016-2017学年七年级下学期期末考试数学试卷 题型:填空题

十五边形的外角和等于____

查看答案和解析>>

同步练习册答案