相关习题
 0  314906  314914  314920  314924  314930  314932  314936  314942  314944  314950  314956  314960  314962  314966  314972  314974  314980  314984  314986  314990  314992  314996  314998  315000  315001  315002  315004  315005  315006  315008  315010  315014  315016  315020  315022  315026  315032  315034  315040  315044  315046  315050  315056  315062  315064  315070  315074  315076  315082  315086  315092  315100  366461 

科目: 来源:黑龙江省牡丹江管理局北斗星协会2017届九年级中考三模数学试卷 题型:单选题

如图,由高和直径相同的5个圆柱搭成的几何体,其左视图是( ).

A. B. C. D.

查看答案和解析>>

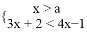
科目: 来源:黑龙江省牡丹江管理局北斗星协会2017届九年级中考三模数学试卷 题型:单选题

若不等式的解集为x>3,则a的取值范围是( ).

A. a>3 B. a≥3 C. a<3 D. a≤3

查看答案和解析>>

科目: 来源:黑龙江省牡丹江管理局北斗星协会2017届九年级中考三模数学试卷 题型:单选题

如图,点A、B、C、D为⊙O的四等分点,动点P从圆心O出发,沿的路线做匀速运动,设运动的时间为t秒,∠APB的度数为y度,则下列图象中表示y(度)与t(秒)之间函数关系最恰当的是( ).

A. B. C. D.

查看答案和解析>>

科目: 来源:黑龙江省牡丹江管理局北斗星协会2017届九年级中考三模数学试卷 题型:选择题

如图,点A在双曲线上,点B在双曲线上,且AB∥x轴,C、D在x轴上,若四边形ABCD为矩形,则它的面积为( ).

A. 1 B. 2 C. 3 D. 4

查看答案和解析>>

科目: 来源:黑龙江省牡丹江管理局北斗星协会2017届九年级中考三模数学试卷 题型:单选题

如果圆锥的高为3cm,母线长为5cm,则圆锥的全面积是( )cm2.

A. B. C. D. 36π

查看答案和解析>>

科目: 来源:黑龙江省牡丹江管理局北斗星协会2017届九年级中考三模数学试卷 题型:单选题

抛物线y=ax2+bx+c(a≠0)的图象如图所示,那么下面六个代数式:①abc;②b2-4ac;③a-b+c;④a+b+c;⑤2a-b;⑥9a-4b中,值小于0的有( ).

A. 1个 B. 2个 C. 3个 D. 4个

查看答案和解析>>

科目: 来源:黑龙江省牡丹江管理局北斗星协会2017届九年级中考三模数学试卷 题型:单选题

在锐角三角形ABC中,AH是BC边上的高,分别以AB、AC为一边,向外作正方形ABDE和ACFG,连接CE、BG和EG,EG与HA的延长线交于点M,下列结论:①BG=CE;②BG⊥CE;③AM是△AEG的中线;④∠EAM=∠ABC,其中正确结论的个数是( ).

A. 4个 B. 3个 C. 2个 D. 1个

查看答案和解析>>

科目: 来源:黑龙江省牡丹江管理局北斗星协会2017届九年级中考三模数学试卷 题型:填空题

农垦牡丹江管理局位于黑龙江省东南部,北倚完达山,东以乌苏里江、松阿察河,南临兴凯湖、穆棱河与俄罗斯隔河相望。全局耕地30.7万公顷;用科学计数法表示为_____________公顷.

查看答案和解析>>

科目: 来源:黑龙江省牡丹江管理局北斗星协会2017届九年级中考三模数学试卷 题型:填空题

函数中,自变量的取值范围是___________.

查看答案和解析>>

科目: 来源:黑龙江省牡丹江管理局北斗星协会2017届九年级中考三模数学试卷 题型:填空题

如图所示,E、F是矩形ABCD对角线AC上的两点,试添加一个条件:________,使得△ADF≌△CBE.

查看答案和解析>>

同步练习册答案