相关习题
 0  314907  314915  314921  314925  314931  314933  314937  314943  314945  314951  314957  314961  314963  314967  314973  314975  314981  314985  314987  314991  314993  314997  314999  315001  315002  315003  315005  315006  315007  315009  315011  315015  315017  315021  315023  315027  315033  315035  315041  315045  315047  315051  315057  315063  315065  315071  315075  315077  315083  315087  315093  315101  366461 

科目: 来源:江苏省南通市2015-2016学年七年级寒假检测数学试卷 题型:填空题

观察下面两行数

第一行:4,-9, 16,-25, 36,…

第二行:6,-7, 18,-23, 38,…

则第二行中的第6个数是___________;第n个数是______________.

查看答案和解析>>

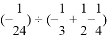
科目: 来源:江苏省南通市2015-2016学年七年级寒假检测数学试卷 题型:解答题

计算:(1) ;(2)

查看答案和解析>>

科目: 来源:江苏省南通市2015-2016学年七年级寒假检测数学试卷 题型:解答题

解方程:

查看答案和解析>>

科目: 来源:江苏省南通市2015-2016学年七年级寒假检测数学试卷 题型:解答题

先化简,再求值:已知 ,其中

查看答案和解析>>

科目: 来源:江苏省南通市2015-2016学年七年级寒假检测数学试卷 题型:解答题

如图,已知∠BOC=2∠AOC,OD平分∠AOB,且∠AOC=40°,求∠COD的度数.

查看答案和解析>>

科目: 来源:江苏省南通市2015-2016学年七年级寒假检测数学试卷 题型:解答题

油桶制造厂的某车间主要负责生产制造油桶用的的圆形铁片和长方形铁片,该车间有工人42人,每个工人平均每小时可以生产圆形铁片120片或者长方形铁片80片.如图,一个油桶由两个圆形铁片和一个长方形铁片相配套. 生产圆形铁片和长方形铁片的工人各为多少人时,才能使生产的铁片恰好配套?

查看答案和解析>>

科目: 来源:江苏省南通市2015-2016学年七年级寒假检测数学试卷 题型:解答题

关于的方程是一元一次方程.

(1)则m,n应满足的条件为:m ,n

(2)若此方程的根为整数,求整数m的值.

查看答案和解析>>

科目: 来源:黑龙江省牡丹江管理局北斗星协会2017届九年级中考三模数学试卷 题型:单选题

下列运算中,正确的是( ).

A. B. C. D. (a2+b)2=a4+b2

查看答案和解析>>

科目: 来源:黑龙江省牡丹江管理局北斗星协会2017届九年级中考三模数学试卷 题型:单选题

在下列图形中,既是轴对称图形又是中心对称图形的是( ).

A. B. C. D.

查看答案和解析>>

科目: 来源:黑龙江省牡丹江管理局北斗星协会2017届九年级中考三模数学试卷 题型:单选题

将一枚质地均匀的硬币连续掷两次,两次都是正面朝上的概率是( ).

A. B. C. D.

查看答案和解析>>

同步练习册答案