相关习题
 0  314913  314921  314927  314931  314937  314939  314943  314949  314951  314957  314963  314967  314969  314973  314979  314981  314987  314991  314993  314997  314999  315003  315005  315007  315008  315009  315011  315012  315013  315015  315017  315021  315023  315027  315029  315033  315039  315041  315047  315051  315053  315057  315063  315069  315071  315077  315081  315083  315089  315093  315099  315107  366461 

科目: 来源:黑龙江省2017届九年级6月学业水平测试数学试卷 题型:单选题

如图:等腰△ABC,点E在BC边上由B到C匀速移动,过E点做BC的垂线交等腰△ABC 腰于D点,设E点的经过的路程为x,DE的长为y,则下列图象能大致反映y与x的函数关系的是( )

A. B. C. D.

查看答案和解析>>

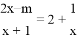
科目: 来源:黑龙江省2017届九年级6月学业水平测试数学试卷 题型:单选题

已知关于x的分式方程的解是负数,则m的取值范围是( )

A. m≥-3 B. m≤-3 C. m>-3 且m≠-2 D. m≥3且m≠-2

查看答案和解析>>

科目: 来源:黑龙江省2017届九年级6月学业水平测试数学试卷 题型:单选题

如图:长方体的长AB=4厘米、宽BC=2厘米、高CD=3厘米.一只蚂蚁想从A点沿表面爬到D点,则最短距离是( )

A. B. C. D. 5

查看答案和解析>>

科目: 来源:黑龙江省2017届九年级6月学业水平测试数学试卷 题型:单选题

如图:正五边形ABCDE中,若边长AB=2,则AC为( )

A. B. C. D.

查看答案和解析>>

科目: 来源:黑龙江省2017届九年级6月学业水平测试数学试卷 题型:单选题

要组织一次篮球赛,赛制为单循环形式(每两队之间都赛一场),计划安排15场比赛,则参赛球队的个数是( )

A. 5个 B. 6个 C. 7个 D. 8个

查看答案和解析>>

科目: 来源:黑龙江省2017届九年级6月学业水平测试数学试卷 题型:单选题

如图:在矩形ABCD中,AB=4,BC=3,折叠矩形ABCD使BC落在BD上,点C落在F点处,延长EF交AB于G,连接DG,若AB=4,BC=3.则①DE=,②S四边形DGBE=,③DG=,④ S△BGF=.其中正确的有( )

A. 1 B. 2 C. 3 D. 4

查看答案和解析>>

科目: 来源:黑龙江省2017届九年级6月学业水平测试数学试卷 题型:解答题

先化简,再求值(1+)÷(2)其中

查看答案和解析>>

科目: 来源:黑龙江省2017届九年级6月学业水平测试数学试卷 题型:解答题

每个小方格都是边长为1个单位长度的小正方形,平行四边形OABC在平面直角坐标系中的位置如图所示.

(1)将平行四边形OABC先向右平移5个单位,得到平行四边形O1A1B1C1,请画出平行四边形O1A1B1C1;

(2)将平行四边形O1A1B1C1绕原点A1逆时针旋转90º,得到平行四边形O2A1B2C2,请画出平行四边形O2A1B2C2,并求出平行四边形O1A1B1C1和平行四边形O2A1B2C2重合的面积.

查看答案和解析>>

科目: 来源:黑龙江省2017届九年级6月学业水平测试数学试卷 题型:解答题

已知:抛物线y=x2+4x+4+m的图像与y轴交于点C,点B与点C的纵坐标相同,一次函数y=kx+b的与二次函数交于A、B两点,且A点坐标为(-1,0).

(1)求二次函数与一次函数的解析式;

(2)若抛物线对称轴上存在一点P,直线PC将△ABC分成面积为1:2两部分,求P点坐标。

查看答案和解析>>

同步练习册答案