相关习题
 0  314916  314924  314930  314934  314940  314942  314946  314952  314954  314960  314966  314970  314972  314976  314982  314984  314990  314994  314996  315000  315002  315006  315008  315010  315011  315012  315014  315015  315016  315018  315020  315024  315026  315030  315032  315036  315042  315044  315050  315054  315056  315060  315066  315072  315074  315080  315084  315086  315092  315096  315102  315110  366461 

科目: 来源:湖北省孝感市云梦县2016-2017学年七年级下学期期末考试数学试卷 题型:单选题

下列命题中,假命题是(  )

A. 如果两条直线都与第三条直线平行,那么这两条直线也互相平行

B. 在同一平面内,过一点有且只有一条直线与已知直线垂直

C. 两条直线被第三条直线所截,同旁内角互补

D. 两直线平行,内错角相等

查看答案和解析>>

科目: 来源:湖北省孝感市云梦县2016-2017学年七年级下学期期末考试数学试卷 题型:单选题

体育委员统计了七(1)班全体同学60秒跳绳的次数,并列出下面的频数分布表:

次数

60≤x<80

80≤x<100

100≤x<120

120≤x<140

140≤x<160

160≤x<180

180≤x<200

频数

2

4

21

14

7

3

1

给出以下结论:①全班有52个学生; ②组距是20; ③组数是7;④跳绳次数在100≤x<140范围的学生约占全班学生的67%.其中正确结论的个数是(  )

A. 1个 B. 2个 C. 3个 D. 4个

查看答案和解析>>

科目: 来源:湖北省孝感市云梦县2016-2017学年七年级下学期期末考试数学试卷 题型:填空题

的立方根是______.

查看答案和解析>>

科目: 来源:湖北省孝感市云梦县2016-2017学年七年级下学期期末考试数学试卷 题型:填空题

《孙子算经》是中国重要的古代数学著作.书中记载了有趣的“鸡兔同笼”问题:“今有雉兔同笼,上有三十五头,下有九十四足,问雉兔各几何?”这句话的意思是:“有若干只鸡兔同在一个笼子里,从上面数,有35个头;从下面数,有94只脚.求笼中各有几只鸡和兔?”设有鸡x只,兔y只,可列方程组为______.

查看答案和解析>>

科目: 来源:湖北省孝感市云梦县2016-2017学年七年级下学期期末考试数学试卷 题型:填空题

一个三位数,十位、百位上的数的和等于个位上的数,百位上的数的6倍等于个位、十位上的数的和,且个位、十位、百位上的数的和是14,则这个三位数是______.

查看答案和解析>>

科目: 来源:湖北省孝感市云梦县2016-2017学年七年级下学期期末考试数学试卷 题型:填空题

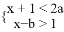
不等式组的解集是,则关于的方程的解为____.

查看答案和解析>>

科目: 来源:湖北省孝感市云梦县2016-2017学年七年级下学期期末考试数学试卷 题型:填空题

如图,若∠1=∠D=38°,∠C和∠D互余,则∠B =_____.

查看答案和解析>>

科目: 来源:湖北省孝感市云梦县2016-2017学年七年级下学期期末考试数学试卷 题型:填空题

如图,在平面直角坐标系上有点A(1,0),点A第一次跳动至点A1(﹣1,1),第二次向右跳动3个单位至点A2(2,1),第三次跳动至点A3(﹣2,2),第四次向右跳动5个单位至点A4(3,2),……,依此规律跳动下去,点A第2018次跳动至点A2018的坐标是______.

查看答案和解析>>

科目: 来源:湖北省孝感市云梦县2016-2017学年七年级下学期期末考试数学试卷 题型:解答题

化简或计算:

(1);(2)

查看答案和解析>>

科目: 来源:湖北省孝感市云梦县2016-2017学年七年级下学期期末考试数学试卷 题型:解答题

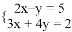
解下列二元一次方程组:

(1);(2)

查看答案和解析>>

同步练习册答案