相关习题
 0  314917  314925  314931  314935  314941  314943  314947  314953  314955  314961  314967  314971  314973  314977  314983  314985  314991  314995  314997  315001  315003  315007  315009  315011  315012  315013  315015  315016  315017  315019  315021  315025  315027  315031  315033  315037  315043  315045  315051  315055  315057  315061  315067  315073  315075  315081  315085  315087  315093  315097  315103  315111  366461 

科目: 来源:江苏省2017届初三下学期第三周周末作业数学试卷 题型:解答题

某家电生产企业根据市场调查分析,决定调整产品生产方案,准备每周(按120个工时计算)生产空调、冰箱、彩电共360台,且彩电至少生产60台,已知生产这些家电产品每台所需工时和每台产值如下表:

问每周应生产空调、冰箱、彩电各多少台,才能使产值最高?最高产值是多少?

查看答案和解析>>

科目: 来源:江苏省2017届初三下学期第三周周末作业数学试卷 题型:解答题

已知:二次函数y=ax2+bx+6(a≠0)的图象与x轴交于A、B两点(点A在点B的左侧),点A、点B的横坐标是方程x2-4x-12=0的两个根.

(1)求出该二次函数的表达式及顶点坐标;

(2)如图,连接AC、BC,点P是线段OB上一个动点(点P不与点O、B重合),过点P作PQ∥AC交BC于点Q,当△CPQ的面积最大时,求点P的坐标.

查看答案和解析>>

科目: 来源:湖北省孝感市云梦县2016-2017学年七年级下学期期末考试数学试卷 题型:单选题

9的算术平方根是(  )

A. 3 B. C. D.

查看答案和解析>>

科目: 来源:湖北省孝感市云梦县2016-2017学年七年级下学期期末考试数学试卷 题型:单选题

下列各图中,∠1和∠2是对顶角的是(  )

A. B. C. D.

查看答案和解析>>

科目: 来源:湖北省孝感市云梦县2016-2017学年七年级下学期期末考试数学试卷 题型:单选题

在平面直角坐标系中,点P(6,-10)所在的象限是(  )

A. 第一象限 B. 第二象限 C. 第三象限 D. 第四象限

查看答案和解析>>

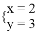
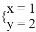
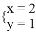
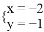
科目: 来源:湖北省孝感市云梦县2016-2017学年七年级下学期期末考试数学试卷 题型:单选题

二元一次方程组的解是(  )

A. B. C. D.

查看答案和解析>>

科目: 来源:湖北省孝感市云梦县2016-2017学年七年级下学期期末考试数学试卷 题型:单选题

,则下列不等式不正确的是(  )

A. B. C. D.

查看答案和解析>>

科目: 来源:湖北省孝感市云梦县2016-2017学年七年级下学期期末考试数学试卷 题型:单选题

要调查下列问题,适合采用全面调查的是( )

A. 检测云梦县的空气质量

B. 孝武超市招聘,对应聘人员进行面试

C. 调查云梦县小学生的视力和用眼卫生情况

D. 检测梦泽鞋厂生产的鞋底能承受的弯折次数

查看答案和解析>>

科目: 来源:湖北省孝感市云梦县2016-2017学年七年级下学期期末考试数学试卷 题型:单选题

下列图案,分别是奥迪、奔驰、三菱、大众汽车的车标,其中可以看作由“基本图案”经过平移得到的是(  )

A. B. C. D.

查看答案和解析>>

科目: 来源:湖北省孝感市云梦县2016-2017学年七年级下学期期末考试数学试卷 题型:单选题

如图,点E在AD的延长线上,下列条件中能判断AB∥CD的是(  )

A. ∠1=∠2 B. ∠3=∠4

C. ∠C=∠CDE D. ∠C+∠CDA=180°

查看答案和解析>>

同步练习册答案