相关习题
 0  314920  314928  314934  314938  314944  314946  314950  314956  314958  314964  314970  314974  314976  314980  314986  314988  314994  314998  315000  315004  315006  315010  315012  315014  315015  315016  315018  315019  315020  315022  315024  315028  315030  315034  315036  315040  315046  315048  315054  315058  315060  315064  315070  315076  315078  315084  315088  315090  315096  315100  315106  315114  366461 

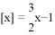
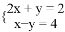
科目: 来源:江西省宜春市2016-2017学年七年级下学期期末考试数学试卷 题型:解答题

(1)计算: (2)解方程组:

查看答案和解析>>

科目: 来源:江西省宜春市2016-2017学年七年级下学期期末考试数学试卷 题型:解答题

解不等式组: ,并将解集在数轴上表示出来.

查看答案和解析>>

科目: 来源:江西省宜春市2016-2017学年七年级下学期期末考试数学试卷 题型:解答题

已知的算术平方根是3,的立方根是2,求的平方根.

查看答案和解析>>

科目: 来源:江西省宜春市2016-2017学年七年级下学期期末考试数学试卷 题型:解答题

如图是一个汉字“互”字,其中,,∠1=∠2,∠=∠.

求证:∠MEF=∠GHN

查看答案和解析>>

科目: 来源:江西省宜春市2016-2017学年七年级下学期期末考试数学试卷 题型:解答题

如图,三角形经过平移后,使得点与点重合,使得点与点重合.

(1)画出平移后的三角形

(2)写出平移后的三角形三个顶点的坐标______,______,______;

(3)直接写出三角形的面积为____.

查看答案和解析>>

科目: 来源:江西省宜春市2016-2017学年七年级下学期期末考试数学试卷 题型:解答题

某校为了了解初中学生在家做家务情况,随机抽取了该校部分初中生进行调查,依据相关数据绘制成以下不完整的统计图.

根据以上信息解答下列问题:

(1)此次调查该校抽取的初中生人数 名,“从不做家务”部分对应的扇形的圆心角度数为

(2)补全条形统计图;

(3)请估计该校2000名初中生中“经常做家务”的人数.

查看答案和解析>>

科目: 来源:江西省宜春市2016-2017学年七年级下学期期末考试数学试卷 题型:解答题

对非负实数“四舍五入”到个位的值记为. 即当n为非负整数时,若,则. 如:=3,=4,…根据以上材料,解决下列问题:

(1)填空= =

(2)若,则的取值范围是

(3)求满足的所有非负实数的值.

查看答案和解析>>

科目: 来源:江西省宜春市2016-2017学年七年级下学期期末考试数学试卷 题型:解答题

为了倡导绿色出行,某市政府2016年投资了320万元,首期建成120个公共自行车站点,配置2500辆公共自行车,2017年又投资了104万元新建了40个公共自行车站点,配置800辆公共自行车.

(1)请问每个站点的造价和公共自行车的单价分别是多少万元? 

(2)若到2020年该市政府将再建造个新公共自行车站点和配置辆公共自行车,并且公共自行车数量不超过新公共自行车站点数量的23倍,并且再建造的新公共自行车站点不超过102个,市政府共有几种选择方案,哪种方案市政府投入的资金最少?(注:从2016年起至2020年,每个站点的造价和公共自行车的单价每年都保持不变)

查看答案和解析>>

科目: 来源:江西省宜春市2016-2017学年七年级下学期期末考试数学试卷 题型:解答题

如图1,在平面直角坐标系中,点轴负半轴上一点,点轴正半轴上一点,,其中满足关系式:.

(1)= = ,△的面积为

(2)如图2,若,点线段上一点,连接,延长于点,当∠=∠时,求证:平分∠

(3)如图3,若,点是点与点之间一动点,连接,始终平分∠,当点在点与点之间运动时,的值是否变化?若不变,求出其值;若变化,请说明理由.

查看答案和解析>>

科目: 来源:江苏省2017届初三下学期第三周周末作业数学试卷 题型:单选题

下列实数中,是无理数的为( )

A. 0 B. - C. D. 3.14

查看答案和解析>>

同步练习册答案