相关习题
 0  314921  314929  314935  314939  314945  314947  314951  314957  314959  314965  314971  314975  314977  314981  314987  314989  314995  314999  315001  315005  315007  315011  315013  315015  315016  315017  315019  315020  315021  315023  315025  315029  315031  315035  315037  315041  315047  315049  315055  315059  315061  315065  315071  315077  315079  315085  315089  315091  315097  315101  315107  315115  366461 

科目: 来源:江西省宜春市2016-2017学年七年级下学期期末考试数学试卷 题型:单选题

下列实数中:、0.1010010001…(往后每两个1之间依次多一个0)、,无理数有(   )

A. 2个 B. 3个 C. 4个 D. 5个

查看答案和解析>>

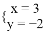
科目: 来源:江西省宜春市2016-2017学年七年级下学期期末考试数学试卷 题型:单选题

已知是二元一次方程的一组解,则的值为(   )

A. B. 2 C. D.

查看答案和解析>>

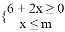
科目: 来源:江西省宜春市2016-2017学年七年级下学期期末考试数学试卷 题型:单选题

若关于的不等式组有解,则的取值范围是(   )

A. B. C. D.

查看答案和解析>>

科目: 来源:江西省宜春市2016-2017学年七年级下学期期末考试数学试卷 题型:单选题

在平面直角坐标系中,对于点,我们把点叫做点伴随点.已知点的伴随点为,点的伴随点为,点的伴随点为,…,这样依次得到点,…,,….若点的坐标为(2,4),点的坐标为 ( )

A. (-3,3) B. (-2,-2) C. (3,-1) D. (2,4)

查看答案和解析>>

科目: 来源:江西省宜春市2016-2017学年七年级下学期期末考试数学试卷 题型:填空题

16的算术平方根是_______.

查看答案和解析>>

科目: 来源:江西省宜春市2016-2017学年七年级下学期期末考试数学试卷 题型:填空题

在平面直角坐标系中,点在第_______象限.

查看答案和解析>>

科目: 来源:江西省宜春市2016-2017学年七年级下学期期末考试数学试卷 题型:填空题

已知关于的二元一次方程组的解为,则_________.

查看答案和解析>>

科目: 来源:江西省宜春市2016-2017学年七年级下学期期末考试数学试卷 题型:填空题

如图,将一副三角板和一张对边平行的纸条按下列方式摆放:含30°角的直角三角板的斜边与含45°角的直角三角板一直角边重合,含45°角的直角三角板的斜边与纸条一边重合,含30°角的三角板的一个顶点在纸条的另一边上,则∠1的度数是__.

查看答案和解析>>

科目: 来源:江西省宜春市2016-2017学年七年级下学期期末考试数学试卷 题型:填空题

关于的二元一次方程组的解满足不等式,则的取值范围是________.

查看答案和解析>>

科目: 来源:江西省宜春市2016-2017学年七年级下学期期末考试数学试卷 题型:填空题

如果∠与∠的两条边分别平行,其中∠=°∠=°,则∠的度数为______.

查看答案和解析>>

同步练习册答案