相关习题
 0  314929  314937  314943  314947  314953  314955  314959  314965  314967  314973  314979  314983  314985  314989  314995  314997  315003  315007  315009  315013  315015  315019  315021  315023  315024  315025  315027  315028  315029  315031  315033  315037  315039  315043  315045  315049  315055  315057  315063  315067  315069  315073  315079  315085  315087  315093  315097  315099  315105  315109  315115  315123  366461 

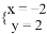
科目: 来源:山东省淄博市2016-2017学年八年级下学期期中考试数学试卷 题型:填空题

解方程组时,甲正确解得乙因把c写错解得,求a、b的值________.

查看答案和解析>>

科目: 来源:山东省淄博市2016-2017学年八年级下学期期中考试数学试卷 题型:填空题

如图,平分,则____.

查看答案和解析>>

科目: 来源:山东省淄博市2016-2017学年八年级下学期期中考试数学试卷 题型:填空题

小明和小颖按如下规则作游戏:桌面上放有5支铅笔,每次取1支或2支,由小明先取,最后一次取完铅笔的人获胜。如果小明获胜的概率为1,那么小明第一次应该取走_______支。

查看答案和解析>>

科目: 来源:山东省淄博市2016-2017学年八年级下学期期中考试数学试卷 题型:解答题

用适当方法解方程组:(1);(2)

查看答案和解析>>

科目: 来源:山东省淄博市2016-2017学年八年级下学期期中考试数学试卷 题型:解答题

已知:如图,点E、C、D、A在同一条直线上,AB//DF,ED= AB,∠E=∠CPD.

求证:△ABC≌△DEF.

查看答案和解析>>

科目: 来源:山东省淄博市2016-2017学年八年级下学期期中考试数学试卷 题型:解答题

一家商店要进行装修,若请甲、乙两个装修组同时施工,8天可以完成,需付两组费用共3520元;若先请甲组单独做6天,再请乙组单独做12天可完成,需付两组费用共3480元,问:

(1)甲、乙两组工作一天,商店应各付多少元?

(2)已知甲组单独做需12天完成,乙组单独做需24天完成,单独请哪组,商店所付费用最少?

查看答案和解析>>

科目: 来源:山东省淄博市2016-2017学年八年级下学期期中考试数学试卷 题型:解答题

一布袋中装有除颜色外其余都相同的红球和黄球共10个,其中红球为6个。从袋中任意摸出一球,

(1)“摸出的球是白球”是什么事件?它的概率是多少?

(2)“摸出的球是黄球”是什么事件?它的概率是多少?

(3)“摸出的球是红球或黄球”是什么事件?它的概率是多少?

查看答案和解析>>

科目: 来源:山东省淄博市2016-2017学年八年级下学期期中考试数学试卷 题型:解答题

已知,如图,△ABC中,∠C>∠B,AD⊥BC于D,AE平分∠BAC.

求证:∠DAE=(∠C-∠B).

查看答案和解析>>

科目: 来源:山东省淄博市2016-2017学年八年级下学期期中考试数学试卷 题型:解答题

已知:如图,BE、CF是△ABC的高,且BP=AC,CQ=AB,求证:AP⊥AQ.

查看答案和解析>>

科目: 来源:江苏省东台市民办校联盟2017届九年级下学期期初调研考试数学试卷 题型:单选题

-3的绝对值是(  )

A. -3 B. 3 C. D.

查看答案和解析>>

同步练习册答案