相关习题
 0  314930  314938  314944  314948  314954  314956  314960  314966  314968  314974  314980  314984  314986  314990  314996  314998  315004  315008  315010  315014  315016  315020  315022  315024  315025  315026  315028  315029  315030  315032  315034  315038  315040  315044  315046  315050  315056  315058  315064  315068  315070  315074  315080  315086  315088  315094  315098  315100  315106  315110  315116  315124  366461 

科目: 来源:山东省淄博市2016-2017学年八年级下学期期中考试数学试卷 题型:单选题

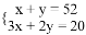
植树节这天有20名同学共种了52棵树苗,其中男生每人种树3棵,女生每人种树2棵.设男生有x人,女生有y人,根据题意,下列方程组正确的是(  )

A. B. C. D.

查看答案和解析>>

科目: 来源:山东省淄博市2016-2017学年八年级下学期期中考试数学试卷 题型:单选题

两个同心圆,大圆半径是小圆半径的2倍,把一粒大米抛在圆形区域内,则大米刚好落在小圆内的概率为( )

A. B. C. D. 无法确定

查看答案和解析>>

科目: 来源:山东省淄博市2016-2017学年八年级下学期期中考试数学试卷 题型:单选题

下列事件是必然事件的是( )

A. 某运动员投篮时连续3次全中 B. 太阳从西方升起

C. 打开电视正在播放动画片 D. 若,则

查看答案和解析>>

科目: 来源:山东省淄博市2016-2017学年八年级下学期期中考试数学试卷 题型:单选题

如图,将一块含有30°角的直角三角板的两个顶点叠放在矩形的两条对边上,如果∠1=27°,那么∠2的度数为(  )

A. 53° B. 55° C. 57° D. 60°

查看答案和解析>>

科目: 来源:山东省淄博市2016-2017学年八年级下学期期中考试数学试卷 题型:单选题

已知函数,令1,2,3,4,5可得函数图象上的5个点,在这5个点中,随机取一个点P(),则P点也在函数图象上的概率是( )

A. B. C. D.

查看答案和解析>>

科目: 来源:山东省淄博市2016-2017学年八年级下学期期中考试数学试卷 题型:单选题

如图,,若,则(  )

A. 50° B. 28° C. 152° D. 102°

查看答案和解析>>

科目: 来源:山东省淄博市2016-2017学年八年级下学期期中考试数学试卷 题型:单选题

如图,在△ABC中,∠ABC=50°,∠ACB=60°,点E在BC的延长线上,∠ABC的平分线BD与∠ACE的平分线CD相交于点D,连接AD,下列结论中不正确的是( )

A. ∠BAC=70° B. ∠DOC=90° C. ∠BDC=35° D. ∠DAC=55°

查看答案和解析>>

科目: 来源:山东省淄博市2016-2017学年八年级下学期期中考试数学试卷 题型:填空题

某同学遇到一道不会做的选择题,在四个选项中有且只有一个是正确的,则他选对的概率是__.

查看答案和解析>>

科目: 来源:山东省淄博市2016-2017学年八年级下学期期中考试数学试卷 题型:填空题

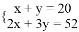
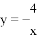
是方程组的解,那么一次函数的图象的交点坐标是__.

查看答案和解析>>

科目: 来源:山东省淄博市2016-2017学年八年级下学期期中考试数学试卷 题型:填空题

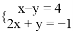
方程组的解是_______.

查看答案和解析>>

同步练习册答案