相关习题
 0  314937  314945  314951  314955  314961  314963  314967  314973  314975  314981  314987  314991  314993  314997  315003  315005  315011  315015  315017  315021  315023  315027  315029  315031  315032  315033  315035  315036  315037  315039  315041  315045  315047  315051  315053  315057  315063  315065  315071  315075  315077  315081  315087  315093  315095  315101  315105  315107  315113  315117  315123  315131  366461 

科目: 来源:山东省2016-2017学年七年级下学期期末模拟数学试卷 题型:填空题

若代数式x2-(a-2)x+9是一个完全平方式,则a=________.

查看答案和解析>>

科目: 来源:山东省2016-2017学年七年级下学期期末模拟数学试卷 题型:填空题

=_____。

查看答案和解析>>

科目: 来源:山东省2016-2017学年七年级下学期期末模拟数学试卷 题型:填空题

蔬菜种植专业户王先生要办一个小型蔬菜加工厂,分别向银行申请甲、乙两种贷款,共13万元,王先生每年须付利息6075元,已知甲种贷款的年利率为6%,乙种贷款的年利率为3.5%,则甲、乙两种贷款分别是______万元和______万元.

查看答案和解析>>

科目: 来源:山东省2016-2017学年七年级下学期期末模拟数学试卷 题型:填空题

如图,已知∠1=∠2,∠B=40°,则∠3=_______.

查看答案和解析>>

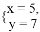
科目: 来源:山东省2016-2017学年七年级下学期期末模拟数学试卷 题型:填空题

已知是方程kx-2y-1=0的解,则k=_________________.

查看答案和解析>>

科目: 来源:山东省2016-2017学年七年级下学期期末模拟数学试卷 题型:填空题

=______________.

查看答案和解析>>

科目: 来源:山东省2016-2017学年七年级下学期期末模拟数学试卷 题型:解答题

分解因式:

(1) 3a3-6a2+3a.

(2) a2(x-y)+b2(y-x).

查看答案和解析>>

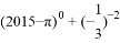
科目: 来源:山东省2016-2017学年七年级下学期期末模拟数学试卷 题型:解答题

计算:(1)

(2)

查看答案和解析>>

科目: 来源:山东省2016-2017学年七年级下学期期末模拟数学试卷 题型:解答题

将一副直角三角板如图放置,已知AE∥BC,求∠AFD的度数.

查看答案和解析>>

科目: 来源:山东省2016-2017学年七年级下学期期末模拟数学试卷 题型:解答题

化简再求值:,其中

查看答案和解析>>

同步练习册答案