相关习题
 0  314938  314946  314952  314956  314962  314964  314968  314974  314976  314982  314988  314992  314994  314998  315004  315006  315012  315016  315018  315022  315024  315028  315030  315032  315033  315034  315036  315037  315038  315040  315042  315046  315048  315052  315054  315058  315064  315066  315072  315076  315078  315082  315088  315094  315096  315102  315106  315108  315114  315118  315124  315132  366461 

科目: 来源:山东省2016-2017学年七年级下学期期末模拟数学试卷 题型:单选题

下列各式中能用完全平方公式分解因式的是( )

A. x2+x+1 B. x2+2x+1 C. x2+2x﹣1 D. x2﹣2x﹣1

查看答案和解析>>

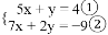
科目: 来源:山东省2016-2017学年七年级下学期期末模拟数学试卷 题型:单选题

用加减法解方程组 时,①×2-②得(  )

A. 3x=-1 B. -2x=13 C. 17x=-1 D. 3x=17

查看答案和解析>>

科目: 来源:山东省2016-2017学年七年级下学期期末模拟数学试卷 题型:单选题

在平面直角坐标系中,已知点A(3,-4),B(4,-3),C(5,0),O是坐标原点,则四边形ABCO的面积为(  )

A. 9 B. 10 C. 11 D. 12

查看答案和解析>>

科目: 来源:山东省2016-2017学年七年级下学期期末模拟数学试卷 题型:单选题

如图所示,∠1+∠2+∠3+∠4的度数为( )

A. 100° B. 180° C. 360° D. 无法确定

查看答案和解析>>

科目: 来源:山东省2016-2017学年七年级下学期期末模拟数学试卷 题型:单选题

=1,则( )

A. x≠0 B. x≠2 C. x≠ D. x为任意有理数

查看答案和解析>>

科目: 来源:山东省2016-2017学年七年级下学期期末模拟数学试卷 题型:单选题

多项式是完全平方式,则的值是( )

A. 20 B. 10 C. 10或-10 D. 20或-20

查看答案和解析>>

科目: 来源:山东省2016-2017学年七年级下学期期末模拟数学试卷 题型:填空题

分解因式:=__________________________.

查看答案和解析>>

科目: 来源:山东省2016-2017学年七年级下学期期末模拟数学试卷 题型:填空题

点P(-5,1),到x轴距离为__________.

查看答案和解析>>

科目: 来源:山东省2016-2017学年七年级下学期期末模拟数学试卷 题型:填空题

已知a+b=2,ab=-10则a2+b2=______________

查看答案和解析>>

科目: 来源:山东省2016-2017学年七年级下学期期末模拟数学试卷 题型:填空题

若5x=18,5y=3,则5x-2y=______.

查看答案和解析>>

同步练习册答案