相关习题
 0  314940  314948  314954  314958  314964  314966  314970  314976  314978  314984  314990  314994  314996  315000  315006  315008  315014  315018  315020  315024  315026  315030  315032  315034  315035  315036  315038  315039  315040  315042  315044  315048  315050  315054  315056  315060  315066  315068  315074  315078  315080  315084  315090  315096  315098  315104  315108  315110  315116  315120  315126  315134  366461 

科目: 来源:安徽省阜阳市2016-2017学年七年级下学期期末考试数学试卷 题型:选择题

如图,将周长为8的△ABC沿BC方向平移1个单位得到△DEF,则四边形ABFD的周长为(  )

A. 6 B. 8 C. 10 D. 12

查看答案和解析>>

科目: 来源:安徽省阜阳市2016-2017学年七年级下学期期末考试数学试卷 题型:单选题

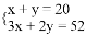
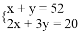
20位同学在植树节这天共种了52棵树苗,其中男生每人种3棵,女生每人种2棵.设男生有x人,女生有y人.根据题意,列方程组正确的是( )

A. B. C. D.

查看答案和解析>>

科目: 来源:安徽省阜阳市2016-2017学年七年级下学期期末考试数学试卷 题型:选择题

若不等式组 无解,则实数a的取值范围是(  )

A. a≥﹣1 B. a<﹣1 C. a≤1 D. a≤﹣1

查看答案和解析>>

科目: 来源:安徽省阜阳市2016-2017学年七年级下学期期末考试数学试卷 题型:填空题

有30个数据,其中最大值为40,最小值为19,若取组距为4,则应该分成____组.

查看答案和解析>>

科目: 来源:安徽省阜阳市2016-2017学年七年级下学期期末考试数学试卷 题型:填空题

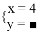
小刚解出了方程组解为,因不小滴上了两滴墨水,刚好盖住了方程组中的一个数和解中的一个数,则=______,=_______.

查看答案和解析>>

科目: 来源:安徽省阜阳市2016-2017学年七年级下学期期末考试数学试卷 题型:填空题

若|x﹣y|+ =0,则xy+1的值为_____.

查看答案和解析>>

科目: 来源:安徽省阜阳市2016-2017学年七年级下学期期末考试数学试卷 题型:填空题

在平面直角坐标系中,对于任意两点A(x1,y1)B (x2,y2),规定运算:

(1)A⊕B=(x1+x2,y1+y2);

(2)A⊙B=x1x2+y1y2;

(3)当x1=x2且y1=y2时,A=B.

有下列四个命题:

①若有A(1,2),B(2,﹣1),则A⊕B=(3,1),A⊙B=0;

②若有A⊕B=B⊕C,则A=C;

③若有A⊙B=B⊙C,则A=C;

④(A⊕B)⊕C=A⊕(B⊕C)对任意点A、B、C均成立.

其中正确的命题为______(只填序号)

查看答案和解析>>

科目: 来源:安徽省阜阳市2016-2017学年七年级下学期期末考试数学试卷 题型:解答题

计算:

查看答案和解析>>

科目: 来源:安徽省阜阳市2016-2017学年七年级下学期期末考试数学试卷 题型:解答题

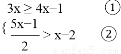
解不等式组,把不等式组的解集在数轴上表示出来,并求出不等式组的整数解的和.

查看答案和解析>>

科目: 来源:安徽省阜阳市2016-2017学年七年级下学期期末考试数学试卷 题型:解答题

观察下列等式:

;②;③;④;…

(1)试猜想第⑤个等式应为   

(2)试用含n(n为正整数)的式子表示你发现的规律.

查看答案和解析>>

同步练习册答案