相关习题
 0  314941  314949  314955  314959  314965  314967  314971  314977  314979  314985  314991  314995  314997  315001  315007  315009  315015  315019  315021  315025  315027  315031  315033  315035  315036  315037  315039  315040  315041  315043  315045  315049  315051  315055  315057  315061  315067  315069  315075  315079  315081  315085  315091  315097  315099  315105  315109  315111  315117  315121  315127  315135  366461 

科目: 来源:海南省定安县2016-2017学年八年级第二学期期末考试数学试卷 题型:解答题

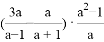
先化简,再求值:,其中

查看答案和解析>>

科目: 来源:海南省定安县2016-2017学年八年级第二学期期末考试数学试卷 题型:解答题

如图,已知△ABC中,D是BC边上的一点,E是AD的中点,过A点作BC的平行线,交CE的延长线于点F,且AF=BD,连接BF.

(1)求证:BD=CD;(2)如果AB=AC,试判断四边形AFBD的形状,并证明你的结论.

查看答案和解析>>

科目: 来源:海南省定安县2016-2017学年八年级第二学期期末考试数学试卷 题型:解答题

(1)如图(1)点P是正方形ABCD的边CD上一点(点P与点C,D不重合),点E在BC的延长线上,且CE=CP,连接BP,DE.求证:BP=DE且BP⊥DE;

(2)直线EP交AD于F,连接BF,FC.点G是FC与BP的交点.

①若BC=2CE时,求证:BP⊥CF;

②若BC=n•CE(n是大于1的实数)时,记△BPF的面积为S1,△DPE的面积为S2.

求证:S1=(n+1)S2.

查看答案和解析>>

科目: 来源:安徽省阜阳市2016-2017学年七年级下学期期末考试数学试卷 题型:单选题

4的平方根是( )

A. 2 B. ±2 C. D. ±

查看答案和解析>>

科目: 来源:安徽省阜阳市2016-2017学年七年级下学期期末考试数学试卷 题型:选择题

点P(4,3)所在的象限是(  )

A. 第一象限 B. 第二象限 C. 第三象限 D. 第四象限

查看答案和解析>>

科目: 来源:安徽省阜阳市2016-2017学年七年级下学期期末考试数学试卷 题型:单选题

下列调查中,适宜采用全面调查方式的是( )

A. 了解一批圆珠笔的使用寿命 B. 了解全国九年级学生身高的现状

C. 考查人们保护海洋的意识 D. 检查一枚用于发射卫星的运载火箭的各零部件

查看答案和解析>>

科目: 来源:安徽省阜阳市2016-2017学年七年级下学期期末考试数学试卷 题型:选择题

下列4个数中,3.1415926, ,π, ,其中无理数是(  )

A. 3.1415926 B. C. π D.

查看答案和解析>>

科目: 来源:安徽省阜阳市2016-2017学年七年级下学期期末考试数学试卷 题型:选择题

如图,BC⊥AE于点C,CD∥AB,∠B=55°,则∠1等于(  )

A. 35° B. 45° C. 55° D. 65°

查看答案和解析>>

科目: 来源:安徽省阜阳市2016-2017学年七年级下学期期末考试数学试卷 题型:单选题

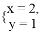
已知是方程kx-y=3的解,那么k的值是( )

A. -2 B. 2 C. 1 D. -1

查看答案和解析>>

科目: 来源:安徽省阜阳市2016-2017学年七年级下学期期末考试数学试卷 题型:选择题

不等式2x≥x﹣1的解集在数轴上表示正确的是(  )

A. B. C. D.

查看答案和解析>>

同步练习册答案