相关习题
 0  314946  314954  314960  314964  314970  314972  314976  314982  314984  314990  314996  315000  315002  315006  315012  315014  315020  315024  315026  315030  315032  315036  315038  315040  315041  315042  315044  315045  315046  315048  315050  315054  315056  315060  315062  315066  315072  315074  315080  315084  315086  315090  315096  315102  315104  315110  315114  315116  315122  315126  315132  315140  366461 

科目: 来源:四川省广安市岳池县2016-2017学年七年级下学期期末考试数学试卷 题型:填空题

任何实数a,可用[a]表示不超过a的最大整数,如[2]=2,[3.7]=3,现对72进行如下操作:

这样对72只需进行3次操作后变为1,类似地:对109只需进行__________次操作后变为1.

查看答案和解析>>

科目: 来源:四川省广安市岳池县2016-2017学年七年级下学期期末考试数学试卷 题型:解答题

计算:

查看答案和解析>>

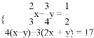
科目: 来源:四川省广安市岳池县2016-2017学年七年级下学期期末考试数学试卷 题型:解答题

解方程(组)

(1)

(2)

查看答案和解析>>

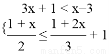
科目: 来源:四川省广安市岳池县2016-2017学年七年级下学期期末考试数学试卷 题型:解答题

解不等式(组)

(1) ;(2)

查看答案和解析>>

科目: 来源:四川省广安市岳池县2016-2017学年七年级下学期期末考试数学试卷 题型:解答题

小龙在学校组织的社会调查活动中负责了解他所居住的小区450户居民的家庭收入情况.他从中随机调查了40户居民家庭收入情况(收入取整数,单位:元),并绘制了如下的频数分布表和频数分布直方图.

根据以上提供的信息,解答下列问题:

(1)补全频数分布表.

(2)补全频数分布直方图.

(3)绘制相应的频数分布折线图.

(4)请你估计该居民小区家庭属于中等收入(大于1000不足1600元)的大约有多少户?

查看答案和解析>>

科目: 来源:四川省广安市岳池县2016-2017学年七年级下学期期末考试数学试卷 题型:解答题

已知:如图,AE⊥BC,FG⊥BC,∠1=∠2,∠D=∠3+60°,∠CBD=70°.

(1)求证:AB∥CD;

(2)求∠C的度数.

查看答案和解析>>

科目: 来源:四川省广安市岳池县2016-2017学年七年级下学期期末考试数学试卷 题型:解答题

一家商店进行装修,若请甲、乙两个装修组同时施工,8天可以完成,需付给两组费用共3520元;若先请甲组单独做6天,再请乙组单独做12天可以完成,需付给两组费用共3480元,问:

(1)甲、乙两组单独工作一天,商店应各付多少元?

(2)已知甲组单独完成需要12天,乙组单独完成需要24天,单独请哪组,商店应付费用较少?

(3)若装修完后,商店每天可盈利200元,你认为如何安排施工有利用商店经营?说说你的理由.(可以直接用(1)(2)中的已知条件)

查看答案和解析>>

科目: 来源:四川省苍溪县2017届九年级第二次模拟考试数学试卷 题型:单选题

计算(﹣3)﹣(﹣9)的结果等于( )

A. 12 B. ﹣12 C. 6 D. ﹣6

查看答案和解析>>

科目: 来源:四川省苍溪县2017届九年级第二次模拟考试数学试卷 题型:单选题

下列几何体的主视图与其他三个不同的是( )

A. B. C. D.

查看答案和解析>>

科目: 来源:四川省苍溪县2017届九年级第二次模拟考试数学试卷 题型:单选题

中国倡导的“一带一路”建设将促进我国与世界各国的互利合作,根据规划,“一带一路”地区覆盖总人口约为4400000000人,这个数用科学记数法表示为(  )

A. 44×108 B. 4.4×109 C. 4.4×108 D. 4.4×1010

查看答案和解析>>

同步练习册答案