相关习题
 0  314948  314956  314962  314966  314972  314974  314978  314984  314986  314992  314998  315002  315004  315008  315014  315016  315022  315026  315028  315032  315034  315038  315040  315042  315043  315044  315046  315047  315048  315050  315052  315056  315058  315062  315064  315068  315074  315076  315082  315086  315088  315092  315098  315104  315106  315112  315116  315118  315124  315128  315134  315142  366461 

科目: 来源:四川省广安市岳池县2016-2017学年七年级下学期期末考试数学试卷 题型:解答题

一家商店进行装修,若请甲、乙两个装修组同时施工,8天可以完成,需付给两组费用共3520元;若先请甲组单独做6天,再请乙组单独做12天可以完成,需付给两组费用共3480元,问:

(1)甲、乙两组单独工作一天,商店应各付多少元?

(2)已知甲组单独完成需要12天,乙组单独完成需要24天,单独请哪组,商店应付费用较少?

(3)若装修完后,商店每天可盈利200元,你认为如何安排施工有利用商店经营?说说你的理由.(可以直接用(1)(2)中的已知条件)

查看答案和解析>>

科目: 来源:四川省广安市岳池县2016-2017学年七年级下学期期末考试数学试卷 题型:单选题

根据下列表述,能确定位置的是(  )

A. 东经116°,北纬42° B. 红星大桥南 C. 北偏东30° D. 太平洋影院第2排

查看答案和解析>>

科目: 来源:四川省广安市岳池县2016-2017学年七年级下学期期末考试数学试卷 题型:单选题

如图,一把矩形直尺沿直线断开并错位,点E,D,B,F在同一条直线上,若∠ADE=125°, 则∠DBC的度数为(  )

A. 125° B. 75° C. 55° D. 65°

查看答案和解析>>

科目: 来源:四川省广安市岳池县2016-2017学年七年级下学期期末考试数学试卷 题型:单选题

下列说法正确的是(  )

A. 了解中央电视台新闻频道的收视率应采用全面调查

B. 了解岳池县初一年级学生的视力情况,现在我县城区甲、乙两所中学的初一年级随机地各抽取50名学生的视力情况

C. 反映岳池县6月份每天的最高气温的变化情况适合用折线统计图

D. 商家从一批粽子中抽取200个进行质量检测,200是总体

查看答案和解析>>

科目: 来源:四川省广安市岳池县2016-2017学年七年级下学期期末考试数学试卷 题型:单选题

,则下列不等式错误的是( )

A. B. C. D.

查看答案和解析>>

科目: 来源:四川省广安市岳池县2016-2017学年七年级下学期期末考试数学试卷 题型:单选题

若一个数的算术平方根和立方根都等于它本身,则这个数一定是( )

A. 0或1 B. 1或-1 C. 0或±1 D. 0

查看答案和解析>>

科目: 来源:四川省广安市岳池县2016-2017学年七年级下学期期末考试数学试卷 题型:单选题

下列命题中,是真命题的是( )

A. 两条直线被第三条直线所截,同位角相等

B. 相等的角是对顶角

C. 同旁内角互补,两直线平行

D. 互补的两个角一定有一个锐角,一个钝角

查看答案和解析>>

科目: 来源:四川省广安市岳池县2016-2017学年七年级下学期期末考试数学试卷 题型:单选题

下列各数中无理数有( )

A. 2个 B. 3个 C. 4个 D. 5个

查看答案和解析>>

科目: 来源:四川省广安市岳池县2016-2017学年七年级下学期期末考试数学试卷 题型:单选题

在平面直角坐标系中,点P()所在的象限是(  )

A. 第一象限 B. 第二象限 C. 第三象限 D. 第四象限

查看答案和解析>>

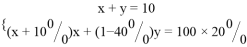
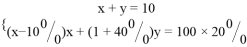
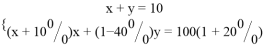
科目: 来源:四川省广安市岳池县2016-2017学年七年级下学期期末考试数学试卷 题型:单选题

甲、乙两种商品原来的单价和为100元,因市场变化,甲商品降价10%,乙商品提价40%,调价后两种商品的单价和比原来的单价和提高了20%、若设甲、乙两种商品原来的单价分别为x元、y元,则下列方程组正确的是(  )

A.

B.

C.

D.

查看答案和解析>>

同步练习册答案