相关习题
 0  314949  314957  314963  314967  314973  314975  314979  314985  314987  314993  314999  315003  315005  315009  315015  315017  315023  315027  315029  315033  315035  315039  315041  315043  315044  315045  315047  315048  315049  315051  315053  315057  315059  315063  315065  315069  315075  315077  315083  315087  315089  315093  315099  315105  315107  315113  315117  315119  315125  315129  315135  315143  366461 

科目: 来源:四川省广安市岳池县2016-2017学年七年级下学期期末考试数学试卷 题型:填空题

如图折叠一张矩形纸片,已知∠1=70°,则∠2的度数是__.

查看答案和解析>>

科目: 来源:四川省广安市岳池县2016-2017学年七年级下学期期末考试数学试卷 题型:填空题

已知关于x轴对称,则的值为 ___________.

查看答案和解析>>

科目: 来源:四川省广安市岳池县2016-2017学年七年级下学期期末考试数学试卷 题型:解答题

已知关于x,y的二元一次方程组的解互为相反数,则k的值是______.

查看答案和解析>>

科目: 来源:四川省广安市岳池县2016-2017学年七年级下学期期末考试数学试卷 题型:填空题

任何实数a,可用[a]表示不超过a的最大整数,如[2]=2,[3.7]=3,现对72进行如下操作:

这样对72只需进行3次操作后变为1,类似地:对109只需进行__________次操作后变为1.

查看答案和解析>>

科目: 来源:四川省广安市岳池县2016-2017学年七年级下学期期末考试数学试卷 题型:解答题

计算:

查看答案和解析>>

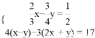
科目: 来源:四川省广安市岳池县2016-2017学年七年级下学期期末考试数学试卷 题型:解答题

解方程(组)

(1)

(2)

查看答案和解析>>

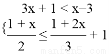
科目: 来源:四川省广安市岳池县2016-2017学年七年级下学期期末考试数学试卷 题型:解答题

解不等式(组)

(1) ;(2)

查看答案和解析>>

科目: 来源:四川省广安市岳池县2016-2017学年七年级下学期期末考试数学试卷 题型:解答题

在平面直角坐标系中,A、B、C三点的坐标分别为(﹣6,7)、(﹣3,0)、(0,3).

(1)画出△ABC,并求△ABC的面积;

(2)在△ABC中,点C经过平移后的对应点为C′(5,4),将△ABC作同样的平移得到△A′B′C′, 画出平移后的△A′B′C′,并写出点A′,B′的坐标;

(3)已知点P(﹣3,m)为△ABC内一点,将点P向右平移4个单位后,再向下平移6个单位得到点Q(n,﹣3),则m=    ,n=    

查看答案和解析>>

科目: 来源:四川省广安市岳池县2016-2017学年七年级下学期期末考试数学试卷 题型:解答题

小龙在学校组织的社会调查活动中负责了解他所居住的小区450户居民的家庭收入情况.他从中随机调查了40户居民家庭收入情况(收入取整数,单位:元),并绘制了如下的频数分布表和频数分布直方图.

根据以上提供的信息,解答下列问题:

(1)补全频数分布表.

(2)补全频数分布直方图.

(3)绘制相应的频数分布折线图.

(4)请你估计该居民小区家庭属于中等收入(大于1000不足1600元)的大约有多少户?

查看答案和解析>>

科目: 来源:四川省广安市岳池县2016-2017学年七年级下学期期末考试数学试卷 题型:解答题

已知:如图,AE⊥BC,FG⊥BC,∠1=∠2,∠D=∠3+60°,∠CBD=70°.

(1)求证:AB∥CD;

(2)求∠C的度数.

查看答案和解析>>

同步练习册答案