相关习题
 0  314950  314958  314964  314968  314974  314976  314980  314986  314988  314994  315000  315004  315006  315010  315016  315018  315024  315028  315030  315034  315036  315040  315042  315044  315045  315046  315048  315049  315050  315052  315054  315058  315060  315064  315066  315070  315076  315078  315084  315088  315090  315094  315100  315106  315108  315114  315118  315120  315126  315130  315136  315144  366461 

科目: 来源:四川省广安市岳池县2016-2017学年七年级下学期期末考试数学试卷 题型:单选题

下列各数3.141,-;-;0;;2.020020002??中无理数有( )

A. 2个 B. 3个 C. 4个 D. 5个

查看答案和解析>>

科目: 来源:四川省广安市岳池县2016-2017学年七年级下学期期末考试数学试卷 题型:单选题

在平面直角坐标系中,点P()所在的象限是(  )

A. 第一象限 B. 第二象限 C. 第三象限 D. 第四象限

查看答案和解析>>

科目: 来源:四川省广安市岳池县2016-2017学年七年级下学期期末考试数学试卷 题型:单选题

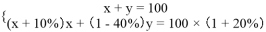
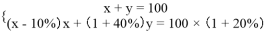
甲、乙两种商品原来的单价和为100元,因市场变化,甲商品降价10%,乙商品提价40%,调价后两种商品的单价和比原来的单价和提高了20%、若设甲、乙两种商品原来的单价分别为x元、y元,则下列方程组正确的是(  )

A.

B.

C.

D.

查看答案和解析>>

科目: 来源:四川省广安市岳池县2016-2017学年七年级下学期期末考试数学试卷 题型:单选题

若关于x的一元一次不等式组有解,则k的取值范围为(  )

A. B. C. D.

查看答案和解析>>

科目: 来源:四川省广安市岳池县2016-2017学年七年级下学期期末考试数学试卷 题型:填空题

如图,两条直线相交成四个角,已知∠2=3∠1,那么∠4=________°.

查看答案和解析>>

科目: 来源:四川省广安市岳池县2016-2017学年七年级下学期期末考试数学试卷 题型:填空题

=_________.

查看答案和解析>>

科目: 来源:四川省广安市岳池县2016-2017学年七年级下学期期末考试数学试卷 题型:填空题

点A的坐标(4,-3),它到x轴的距离为____.

查看答案和解析>>

科目: 来源:四川省广安市岳池县2016-2017学年七年级下学期期末考试数学试卷 题型:填空题

《九章算术》中记载:“今有牛五、羊二,直金十两;牛二、羊五,直金八两.问:牛、羊各直金几何?”

译文:“假设有5头牛、2只羊,值金10两;2头牛、5只羊,值金8两.问:每头牛、每只羊各值金多少两?”设每头牛值金x两,每只羊值金y两,可列方程组为_____________.

查看答案和解析>>

科目: 来源:四川省广安市岳池县2016-2017学年七年级下学期期末考试数学试卷 题型:填空题

若不等式的解集中有个正整数,则的值为__________.

查看答案和解析>>

科目: 来源:四川省广安市岳池县2016-2017学年七年级下学期期末考试数学试卷 题型:填空题

某中学为了了解学生上学方式,现随机抽取部分学生进行调查,将结果绘成条形统计图如图,由此可估计该校2400名学生中有___________名学生是乘车上学的.

查看答案和解析>>

同步练习册答案