相关习题
 0  314965  314973  314979  314983  314989  314991  314995  315001  315003  315009  315015  315019  315021  315025  315031  315033  315039  315043  315045  315049  315051  315055  315057  315059  315060  315061  315063  315064  315065  315067  315069  315073  315075  315079  315081  315085  315091  315093  315099  315103  315105  315109  315115  315121  315123  315129  315133  315135  315141  315145  315151  315159  366461 

科目: 来源:四川省巴中市南江县2016-2017学年七年级下学期期末考试数学试卷 题型:解答题

解方程或方程组:

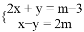
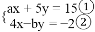
(1) ;(2)

(3);(4)

查看答案和解析>>

科目: 来源:四川省巴中市南江县2016-2017学年七年级下学期期末考试数学试卷 题型:解答题

解不等式:,并把解集表示在数轴上.

查看答案和解析>>

科目: 来源:四川省巴中市南江县2016-2017学年七年级下学期期末考试数学试卷 题型:解答题

△ABC中,∠B=38°,∠C=72°,AD为∠BAC的平分线,AF为BC边上的高,求∠DAF的度数。

查看答案和解析>>

科目: 来源:四川省巴中市南江县2016-2017学年七年级下学期期末考试数学试卷 题型:填空题

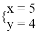
已知关于 x、y的方程组 的解 x、y均为负数,求m的取值范围.

查看答案和解析>>

科目: 来源:四川省巴中市南江县2016-2017学年七年级下学期期末考试数学试卷 题型:解答题

如图,在边长为1个单位长度的小正方形组成的网格中,给出了格点三角形ABC(项点是网格线的交点).

(1)先将△ABC竖直向上平移6个单位,再水平向右平移3个单位得到△A1B1C1,请画出△A1B1C1;

(2)将△A1B1C1绕B1点顺时针旋转90°,得△A2B1C2,请画出△A2B1C2;

查看答案和解析>>

科目: 来源:四川省巴中市南江县2016-2017学年七年级下学期期末考试数学试卷 题型:解答题

如图,在4×3的网格上,由个数相同的白色方块与黑色方块组成一幅图案,请仿照此图案,在下列网格中分别设计出符合要求的图案(注:①不得与原图案相同;②黑、白方块的个数要相同)。

(1)设计一个图形,使它既是轴对称图形又是中心对称图形,请把你所设计的图案在图(1)中表示出来;

(2)设计一个图形,使它是轴对称图形但不是中心对称图形,请把你所设计的图案在图(2)中表示出来;(3)设计一个图形,使它是中心对称图形但不是轴对称图形,请把你所设计的图案在图(3)中表示出来。

查看答案和解析>>

科目: 来源:四川省巴中市南江县2016-2017学年七年级下学期期末考试数学试卷 题型:解答题

甲、乙两人共同解方程组,由于甲看错了方程①中的,得到方程组的解为;乙看错了方程②中的,得到方程组的解为,试计算的值.

查看答案和解析>>

科目: 来源:四川省巴中市南江县2016-2017学年七年级下学期期末考试数学试卷 题型:解答题

试确定实数a的取值范围,使关于x的不等式组恰有两个整数解.

查看答案和解析>>

科目: 来源:四川省巴中市南江县2016-2017学年七年级下学期期末考试数学试卷 题型:解答题

在边长为1的小正方形组成的方格纸中,称小正方形的顶点为“格点”,顶点全在格点上的多边形为“格点多边形”.格点多边形的面积记为S,其内部的格点数记为N,边界上的格点数记为L,例如,图中三角形ABC是格点三角形,其中S=2,N=0,L=6.

(1)图中格点多边形DEFGHI所对应的S= ,N= ,L=

(2)经探究发现,任意格点多边形的面积S可表示为S=aN+bL+c,其中a,b,c为常数,求当N=5,L=14时,S的值.

查看答案和解析>>

科目: 来源:四川省巴中市南江县2016-2017学年七年级下学期期末考试数学试卷 题型:解答题

万美服装城准备进一批两种不同型号的衣服,已知购进A种型号衣服9件,B种型号衣服10件,则共需1810元;若购进A种型号衣服12件,B种型号衣服8件,共需1880元;已知销售一件A型号衣服可获利18元,销售一件B型号衣服可获利30元,要使在这次销售中获利不少于699元,且A型号衣服不多于28件.

(1)求A、B型号衣服进价各是多少元?

(2)若已知购进A型号衣服是B型号衣服的2倍还多4件,则商店在这次进货中可有几种方案?并简述购货方案.

查看答案和解析>>

同步练习册答案