相关习题
 0  314968  314976  314982  314986  314992  314994  314998  315004  315006  315012  315018  315022  315024  315028  315034  315036  315042  315046  315048  315052  315054  315058  315060  315062  315063  315064  315066  315067  315068  315070  315072  315076  315078  315082  315084  315088  315094  315096  315102  315106  315108  315112  315118  315124  315126  315132  315136  315138  315144  315148  315154  315162  366461 

科目: 来源:江苏省盐城市2015-2016学年七年级下学期期末考试数学试卷 题型:填空题

如图,将长方形纸片ABCD沿EF折叠后,点C、D分别落在P、Q的位置,EQ的延长线交BC边于H.下列说法正确的有_____.(只填序号)

=;②互补;③若,则;④

查看答案和解析>>

科目: 来源:江苏省盐城市2015-2016学年七年级下学期期末考试数学试卷 题型:解答题

计算:(1);(2)

查看答案和解析>>

科目: 来源:江苏省盐城市2015-2016学年七年级下学期期末考试数学试卷 题型:解答题

分解因式:(1);(2)

查看答案和解析>>

科目: 来源:江苏省盐城市2015-2016学年七年级下学期期末考试数学试卷 题型:解答题

请将下列证明过程补充完整:

已知:如图,AB∥CD, CE平分∠ACD.

求证:∠1=∠2.

证明:∵CE平分∠ACD ( ),

∴∠  =∠     ),

∵AB∥CD( ),

      ),

∴∠1=∠2( ).

查看答案和解析>>

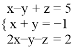
科目: 来源:江苏省盐城市2015-2016学年七年级下学期期末考试数学试卷 题型:解答题

解方程组:(1) ;(2)

查看答案和解析>>

科目: 来源:江苏省盐城市2015-2016学年七年级下学期期末考试数学试卷 题型:解答题

解下列不等式(组),并把解集在数轴上表示出来:

(1);(2)

查看答案和解析>>

科目: 来源:江苏省盐城市2015-2016学年七年级下学期期末考试数学试卷 题型:解答题

已知关于x、y的方程组为常数.

(1)求方程组的解;

(2)若方程组的解x>y>0,求a的取值范围.

查看答案和解析>>

科目: 来源:江苏省盐城市2015-2016学年七年级下学期期末考试数学试卷 题型:解答题

我市某农场有A、B两种型号的收割机共20台,每台A型收割机每天可收大麦100亩或者小麦80亩,每台B型收割机每天可收大麦80亩或者小麦60亩,该农场现有19 000亩大麦和11 500亩小麦先后等待收割.先安排这20台收割机全部收割大麦,并且恰好10天时间全部收完.

(1)问A、B两种型号的收割机各多少台?

(2)由于气候影响,要求通过加班方式使每台收割机每天多完成10%的收割量,问这20台收割机能否在一周时间内完成全部小麦收割任务?

查看答案和解析>>

科目: 来源:江苏省盐城市2015-2016学年七年级下学期期末考试数学试卷 题型:解答题

特值验证:

,0,1,2,5,…时,计算代数式的值,分别得到5,2,1,2,17,….当x的取值发生变化时,代数式的值却有一个确定的范围,通过多次验证可以发现它的值总大于或等于1,所以1就是它的最小值.

变式求证:

我们可以用学过的知识,对进行恒等变形:.(注:这种变形方法可称为“配方”) .所以无论x取何值,代数式的值不小于1,即最小值为1.

迁移实证:

(1)请你用“配方”的方法,确定的最小值为3;

(2)求的最大值.

查看答案和解析>>

科目: 来源:江苏省盐城市2015-2016学年七年级下学期期末考试数学试卷 题型:解答题

已知BM、CN分别是△的两个外角的角平分线,分别是的角平分线,如图①;分别是的三等分线(即),如图②;依此画图,分别是的n等分线(即),,且为整数.

(1)若,求的度数;

(2)设,请用和n的代数式表示的大小,并写出表示的过程;

(3)当时,请直接写出+的数量关系.

图① 图②

查看答案和解析>>

同步练习册答案