相关习题
 0  314969  314977  314983  314987  314993  314995  314999  315005  315007  315013  315019  315023  315025  315029  315035  315037  315043  315047  315049  315053  315055  315059  315061  315063  315064  315065  315067  315068  315069  315071  315073  315077  315079  315083  315085  315089  315095  315097  315103  315107  315109  315113  315119  315125  315127  315133  315137  315139  315145  315149  315155  315163  366461 

科目: 来源:江苏省盐城市2015-2016学年七年级下学期期末考试数学试卷 题型:单选题

如图,已知AD、BC相交于点O,下列说法错误的是( )

A. 若,则

B. 若,则

C. 若,则

D.

查看答案和解析>>

科目: 来源:江苏省盐城市2015-2016学年七年级下学期期末考试数学试卷 题型:单选题

不等式的解集在数轴上表示正确的是( )

A. B. C. D.

查看答案和解析>>

科目: 来源:江苏省盐城市2015-2016学年七年级下学期期末考试数学试卷 题型:单选题

已知不等式组有解,则的取值范围是( )

A. B. C. D.

查看答案和解析>>

科目: 来源:江苏省盐城市2015-2016学年七年级下学期期末考试数学试卷 题型:填空题

一个多边形的每个外角都是60°,则这个多边形的边数为_____.

查看答案和解析>>

科目: 来源:江苏省盐城市2015-2016学年七年级下学期期末考试数学试卷 题型:填空题

某软件园成功研制一项高新技术,在一块生物芯片上集成若干个探针,每个探针的单位面积约为0.000 001 44 ,用科学计数法表示0.000 001 44=_____.

查看答案和解析>>

科目: 来源:江苏省盐城市2015-2016学年七年级下学期期末考试数学试卷 题型:填空题

计算:=_____.

查看答案和解析>>

科目: 来源:江苏省盐城市2015-2016学年七年级下学期期末考试数学试卷 题型:填空题

用不等式表示“的2倍与4的和是负数”:_____.

查看答案和解析>>

科目: 来源:江苏省盐城市2015-2016学年七年级下学期期末考试数学试卷 题型:填空题

计算:=_____.

查看答案和解析>>

科目: 来源:江苏省盐城市2015-2016学年七年级下学期期末考试数学试卷 题型:填空题

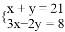
二元一次方程组的解为_____.

查看答案和解析>>

科目: 来源:江苏省盐城市2015-2016学年七年级下学期期末考试数学试卷 题型:填空题

已知是一个完全平方式,则常数=_____.

查看答案和解析>>

同步练习册答案