相关习题
 0  314971  314979  314985  314989  314995  314997  315001  315007  315009  315015  315021  315025  315027  315031  315037  315039  315045  315049  315051  315055  315057  315061  315063  315065  315066  315067  315069  315070  315071  315073  315075  315079  315081  315085  315087  315091  315097  315099  315105  315109  315111  315115  315121  315127  315129  315135  315139  315141  315147  315151  315157  315165  366461 

科目: 来源:吉林省2016-2017学年七年级下学期第二次月考数学试卷 题型:填空题

服装店销售某款服装,一件服装的标价为300元,若按标价的八折销售,仍可获利60元,则这款服装每件的进价是______元.

查看答案和解析>>

科目: 来源:吉林省2016-2017学年七年级下学期第二次月考数学试卷 题型:填空题

定义运算“*”,规定,其中为常数,且,则=___.

查看答案和解析>>

科目: 来源:吉林省2016-2017学年七年级下学期第二次月考数学试卷 题型:填空题

如图,将△ABC绕点C顺时针方向旋转40°得△A’CB’,若AC⊥A’B’,则∠BAC=___.

查看答案和解析>>

科目: 来源:吉林省2016-2017学年七年级下学期第二次月考数学试卷 题型:填空题

如图,△ABC中,∠C=40°,AD是∠CAB的平分线,BD是△ABC的外角平分线,AD与BD交于点D,那么∠D=_________°.

查看答案和解析>>

科目: 来源:吉林省2016-2017学年七年级下学期第二次月考数学试卷 题型:填空题

将正三角形、正四边形、正五边形按如图所示的位置摆放.如果∠3=32°,那么∠1与∠2的度数和为___________°.

查看答案和解析>>

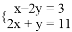
科目: 来源:吉林省2016-2017学年七年级下学期第二次月考数学试卷 题型:解答题

解方程组

查看答案和解析>>

科目: 来源:吉林省2016-2017学年七年级下学期第二次月考数学试卷 题型:解答题

一个多边形的内角和是它的外角和的4倍,求这个多边形的边数.

查看答案和解析>>

科目: 来源:吉林省2016-2017学年七年级下学期第二次月考数学试卷 题型:解答题

如图,在△ABC中,∠B=46°,∠C=54°,AD平分∠BAC交BC于D,DE∥AB,交AC于E,EF是△ADE的高.求∠DEF的度数.

查看答案和解析>>

科目: 来源:吉林省2016-2017学年七年级下学期第二次月考数学试卷 题型:填空题

如图,用8块相同的长方形地砖拼成一个长方形,每块长方形地砖的长和宽分别是多少?

查看答案和解析>>

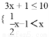
科目: 来源:吉林省2016-2017学年七年级下学期第二次月考数学试卷 题型:解答题

解不等式组,并把解集表示在数轴上.

查看答案和解析>>

同步练习册答案