相关习题
 0  314972  314980  314986  314990  314996  314998  315002  315008  315010  315016  315022  315026  315028  315032  315038  315040  315046  315050  315052  315056  315058  315062  315064  315066  315067  315068  315070  315071  315072  315074  315076  315080  315082  315086  315088  315092  315098  315100  315106  315110  315112  315116  315122  315128  315130  315136  315140  315142  315148  315152  315158  315166  366461 

科目: 来源:四川省外国语实验学校2016-2017学年八年级下学期第二学段考试数学A卷试卷 题型:解答题

某市火车运货站现有甲种货物1 530吨,乙种货物l l50 吨,安排用一列货车将这批货物运往广州,这种货车可挂A、B两种不同规格的货厢50节.已知用一节A型货厢的运费是0.5万元,用一节B型货厢的运费是0.8万元.

(1)设运输这批货物的总运费y(万元),用A型货厢的节数为x(节),试写出y与x之间的函数关系式;

(2)已知甲种货物35吨和乙种货物15吨可装满一节A型货厢,甲种货物25吨和乙种货物35吨可装满一节B型货厢.按此要求安排A、B两种货厢的节数,有哪几种运输方案?请你设计出来;

(3)利用函数性质说明,在这些方案中,哪种方案总运费最少?最少运费是多少万元?

查看答案和解析>>

科目: 来源:吉林省2016-2017学年七年级下学期第二次月考数学试卷 题型:单选题

下列图形既是中心对称图形又是轴对称图形的是( )

A. B. C. D.

查看答案和解析>>

科目: 来源:吉林省2016-2017学年七年级下学期第二次月考数学试卷 题型:单选题

若3x—6= x,则x的值是( )

A. 1 B. 2 C. 3 D. 4

查看答案和解析>>

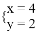
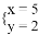
科目: 来源:吉林省2016-2017学年七年级下学期第二次月考数学试卷 题型:单选题

方程组,的解是( )

A. B. C. D.

查看答案和解析>>

科目: 来源:吉林省2016-2017学年七年级下学期第二次月考数学试卷 题型:单选题

在不等式的解集中,正整数解的个数是( )

A. 4 B. 5 C. 6 D. 7

查看答案和解析>>

科目: 来源:吉林省2016-2017学年七年级下学期第二次月考数学试卷 题型:单选题

以下列各组线段为边,能组成三角形的是( )

A. 1cm,2cm,3cm B. 3cm,4cm,5cm

C. 2cm,4cm,8cm D. 5cm,6cm,14cm

查看答案和解析>>

科目: 来源:吉林省2016-2017学年七年级下学期第二次月考数学试卷 题型:单选题

能和正十二边形组合铺满地面的是( )

A. 正方形 B. 正六边形 C. 正八边形 D. 正三角形

查看答案和解析>>

科目: 来源:吉林省2016-2017学年七年级下学期第二次月考数学试卷 题型:单选题

如图所示,∠等于( )

A. 35° B. 70° C. 75° D. 105°

查看答案和解析>>

科目: 来源:吉林省2016-2017学年七年级下学期第二次月考数学试卷 题型:单选题

如图,在△ABC中,∠ACB=90°,∠A=50°,将其折叠,使点A落在边CB上A′处,折痕为CD,则的度数为( )

A. 40° B. 30° C. 20° D. 10°

查看答案和解析>>

科目: 来源:吉林省2016-2017学年七年级下学期第二次月考数学试卷 题型:填空题

不等式的解集是_____________.

查看答案和解析>>

同步练习册答案