相关习题
 0  314975  314983  314989  314993  314999  315001  315005  315011  315013  315019  315025  315029  315031  315035  315041  315043  315049  315053  315055  315059  315061  315065  315067  315069  315070  315071  315073  315074  315075  315077  315079  315083  315085  315089  315091  315095  315101  315103  315109  315113  315115  315119  315125  315131  315133  315139  315143  315145  315151  315155  315161  315169  366461 

科目: 来源:四川省外国语实验学校2016-2017学年八年级下学期第二学段考试数学A卷试卷 题型:单选题

下列变量之间的关系中,是函数关系的是 ( )

A. 人的体重与年龄 B. 正方形的周长与边长

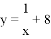
C. 长方形的面积与长 D. y=±中,y与x

查看答案和解析>>

科目: 来源:四川省外国语实验学校2016-2017学年八年级下学期第二学段考试数学A卷试卷 题型:单选题

下列运算正确的是( )

A. B. C. D.

查看答案和解析>>

科目: 来源:四川省外国语实验学校2016-2017学年八年级下学期第二学段考试数学A卷试卷 题型:单选题

下列各式中,变形不正确的是 ( )

A. B. C. D.

查看答案和解析>>

科目: 来源:四川省外国语实验学校2016-2017学年八年级下学期第二学段考试数学A卷试卷 题型:单选题

当m>0,n>0时,若m、n都扩大为原来的k倍,则分式的值( )

A. 缩小到原来的 B. 扩大到原来的k倍

C. 缩小到原来的 D. 扩大到原来的k2倍

查看答案和解析>>

科目: 来源:四川省外国语实验学校2016-2017学年八年级下学期第二学段考试数学A卷试卷 题型:单选题

下列式子是分式方程的是( )

A. B.

C. D.

查看答案和解析>>

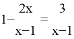
科目: 来源:四川省外国语实验学校2016-2017学年八年级下学期第二学段考试数学A卷试卷 题型:单选题

将分式方程去分母,得到正确的整式方程是( )

A. B. C. D.

查看答案和解析>>

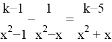
科目: 来源:四川省外国语实验学校2016-2017学年八年级下学期第二学段考试数学A卷试卷 题型:单选题

已知方程有增根x=1,那么k的值为( )

A. 1 B. C. 3 D.

查看答案和解析>>

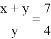
科目: 来源:四川省外国语实验学校2016-2017学年八年级下学期第二学段考试数学A卷试卷 题型:单选题

如果,那么 的值是( )

A. B. C. D.

查看答案和解析>>

科目: 来源:四川省外国语实验学校2016-2017学年八年级下学期第二学段考试数学A卷试卷 题型:单选题

下列函数中,是一次函数的是( )

A. B. C. D.

查看答案和解析>>

科目: 来源:四川省外国语实验学校2016-2017学年八年级下学期第二学段考试数学A卷试卷 题型:选择题

直线与y轴的交点坐标是( )

A.(4,0) B.(0,4) C.(﹣4,0) D.(0,﹣4)

查看答案和解析>>

同步练习册答案