相关习题
 0  314981  314989  314995  314999  315005  315007  315011  315017  315019  315025  315031  315035  315037  315041  315047  315049  315055  315059  315061  315065  315067  315071  315073  315075  315076  315077  315079  315080  315081  315083  315085  315089  315091  315095  315097  315101  315107  315109  315115  315119  315121  315125  315131  315137  315139  315145  315149  315151  315157  315161  315167  315175  366461 

科目: 来源:河北省秦皇岛市2016-2017学年七年级下学期期末考试数学试卷 题型:解答题

计算:

查看答案和解析>>

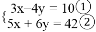
科目: 来源:河北省秦皇岛市2016-2017学年七年级下学期期末考试数学试卷 题型:解答题

解方程组

查看答案和解析>>

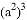
科目: 来源:河北省秦皇岛市2016-2017学年七年级下学期期末考试数学试卷 题型:解答题

解不等式组,并把它的解集表示在数轴上.

查看答案和解析>>

科目: 来源:河北省秦皇岛市2016-2017学年七年级下学期期末考试数学试卷 题型:解答题

如图所示,已知∠1=∠2,∠3=∠4,∠5=∠C,求证:DE//BF

查看答案和解析>>

科目: 来源:河北省秦皇岛市2016-2017学年七年级下学期期末考试数学试卷 题型:解答题

某校有学生2100人,在“文明我先行”的活动中,开设了“法律、礼仪、感恩、环保、互助”五门校本课程,规定每位学生必须且只能选择一门。为了解学生的报名意向学校随机调查了100名学生,并制成如下统计表:

(1)在这次调查活动中,学校采取的调查的方式是 (填写“普查”或“抽样调查”)

(2)a= ,b= ,m=

(3)如果要画“校本课程报名意向扇形统计图”,那么“礼仪”类校本课程所对应的扇形圆心角的度数是

(4)请你统计,全校选择“环保”类校本课程的学生约有 人.

查看答案和解析>>

科目: 来源:河北省秦皇岛市2016-2017学年七年级下学期期末考试数学试卷 题型:解答题

小文在甲、乙两家超市发现他看中的篮球的单价相同,书包单价也相同,一个篮球和三个书包的总费用是400元.两个篮球和一个书包的总费用也是400元.

(1)求小文看中的篮球和书包单价各是多少元?

(2)某一天小文上街,恰好赶上商家促销,超市甲所有商品打九折销售,超市乙全场购物满100元返30元购物券(不足100元不返券,购物券全场通用),如果他只能在同一家超市购买他看中的篮球和书包各一个,应选择哪一家超市购买更省钱?并说明理由.

查看答案和解析>>

科目: 来源:河北省秦皇岛市2016-2017学年七年级下学期期末考试数学试卷 题型:解答题

一工厂要将100吨货物运往外地,计划租用某运输公司甲、乙两种型号的汽车共6辆一次将货物全部运动,已知每辆甲型汽车最多能装该种货物16吨,租金800元,每辆乙型汽车最多能装该种货物18吨,租金850元,若此工厂计划此次租车费用不超过5000元,通过计算求出该公司共有几种租车方案?请你设计出来,并求出最低的租车费用。

查看答案和解析>>

科目: 来源:四川外语学院重庆第二外国语学校2016-2017学年七年级下学期第二次月考(期中)数学试卷 题型:单选题

下面所给的交通标志图中是轴对称图形的是( )

A. B. C. D.

查看答案和解析>>

科目: 来源:四川外语学院重庆第二外国语学校2016-2017学年七年级下学期第二次月考(期中)数学试卷 题型:单选题

计算的结果是( )

A. B. C. D.

查看答案和解析>>

科目: 来源:四川外语学院重庆第二外国语学校2016-2017学年七年级下学期第二次月考(期中)数学试卷 题型:单选题

如图,直线直线被直线所截,且,若,则的度数是( )

A. B. C. D.

查看答案和解析>>

同步练习册答案