相关习题
 0  314984  314992  314998  315002  315008  315010  315014  315020  315022  315028  315034  315038  315040  315044  315050  315052  315058  315062  315064  315068  315070  315074  315076  315078  315079  315080  315082  315083  315084  315086  315088  315092  315094  315098  315100  315104  315110  315112  315118  315122  315124  315128  315134  315140  315142  315148  315152  315154  315160  315164  315170  315178  366461 

科目: 来源:青海省2016-2017学年七年级6月月考数学试卷 题型:填空题

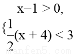
不等式组的解集是__________.

查看答案和解析>>

科目: 来源:青海省2016-2017学年七年级6月月考数学试卷 题型:填空题

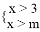
若不等式组的解集是x>3,则m的取值范围是________.

查看答案和解析>>

科目: 来源:青海省2016-2017学年七年级6月月考数学试卷 题型:填空题

若点(1-2a,a-4)在第三象限内,则a的取值范围是______

查看答案和解析>>

科目: 来源:青海省2016-2017学年七年级6月月考数学试卷 题型:填空题

有10名菜农,每人可种茄子3亩或辣椒2亩,已知茄子每亩可收入0.5万元,辣椒每亩可收入0.8万元,要使总收入不低于15.6万元,则最多只能安排__________人种茄子.

查看答案和解析>>

科目: 来源:青海省2016-2017学年七年级6月月考数学试卷 题型:解答题

解不等式2(x-2)<1-3x,并把它的解集在数轴上表示出来.

查看答案和解析>>

科目: 来源:青海省2016-2017学年七年级6月月考数学试卷 题型:解答题

解不等式:

查看答案和解析>>

科目: 来源:青海省2016-2017学年七年级6月月考数学试卷 题型:解答题

解不等式≤1,并把它的解集在数轴上表示出来.

查看答案和解析>>

科目: 来源:青海省2016-2017学年七年级6月月考数学试卷 题型:解答题

某兴趣小组为了解本校男生参加课外体育锻炼情况,随机抽取本校300名男生进行了问卷调查,统计整理并绘制了如下两幅尚不完整的统计图.

课外体育锻炼情况扇形统计图

“经常参加”课外体育锻炼的男生最喜欢的一种项目条形统计图

请根据以上信息解答下列问题:

(1)课外体育锻炼情况扇形统计图中,“经常参加”所对应的圆心角的度数为________;

(2)请补全条形统计图;

(3)该校共有1 200名男生,请估计全校男生中经常参加课外体育锻炼并且最喜欢的项目是篮球的人数;

查看答案和解析>>

科目: 来源:青海省2016-2017学年七年级6月月考数学试卷 题型:解答题

解不等式组并写出不等式组的整数解.

查看答案和解析>>

科目: 来源:青海省2016-2017学年七年级6月月考数学试卷 题型:解答题

某汽车专卖店销售A,B两种型号的新能源汽车.上周售出1辆A型车和3辆B型车,销售额为96万元;本周已售出2辆A型车和1辆B型车,销售额为62万元.

(1)求每辆A型车和B型车的售价各为多少元.

(2)甲公司拟向该店购买A,B两种型号的新能源汽车共6辆,购车费不少于130万元,且不超过140万元.则有哪几种购车方案?

查看答案和解析>>

同步练习册答案